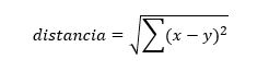
Es la distancia "ordinaria" ya comentada. Viene definida por la siguiente expresión:
Mensaje de error
- Deprecated function: Use of "static" in callables is deprecated in Drupal\user\Entity\Role::postLoad() (line 172 of core/modules/user/src/Entity/Role.php).
Drupal\user\Entity\Role::postLoad(Object, Array) (Line: 423) Drupal\Core\Entity\EntityStorageBase->postLoad(Array) (Line: 353) Drupal\Core\Entity\EntityStorageBase->loadMultiple(Array) (Line: 16) Drupal\user\RoleStorage->isPermissionInRoles('access site in maintenance mode', Array) (Line: 112) Drupal\Core\Session\UserSession->hasPermission('access site in maintenance mode') (Line: 105) Drupal\Core\Session\AccountProxy->hasPermission('access site in maintenance mode') (Line: 83) Drupal\redirect\RedirectChecker->canRedirect(Object) (Line: 120) Drupal\redirect\EventSubscriber\RedirectRequestSubscriber->onKernelRequestCheckRedirect(Object, 'kernel.request', Object) call_user_func(Array, Object, 'kernel.request', Object) (Line: 142) Drupal\Component\EventDispatcher\ContainerAwareEventDispatcher->dispatch(Object, 'kernel.request') (Line: 145) Symfony\Component\HttpKernel\HttpKernel->handleRaw(Object, 1) (Line: 81) Symfony\Component\HttpKernel\HttpKernel->handle(Object, 1, 1) (Line: 58) Drupal\Core\StackMiddleware\Session->handle(Object, 1, 1) (Line: 48) Drupal\Core\StackMiddleware\KernelPreHandle->handle(Object, 1, 1) (Line: 191) Drupal\page_cache\StackMiddleware\PageCache->fetch(Object, 1, 1) (Line: 128) Drupal\page_cache\StackMiddleware\PageCache->lookup(Object, 1, 1) (Line: 82) Drupal\page_cache\StackMiddleware\PageCache->handle(Object, 1, 1) (Line: 48) Drupal\Core\StackMiddleware\ReverseProxyMiddleware->handle(Object, 1, 1) (Line: 51) Drupal\Core\StackMiddleware\NegotiationMiddleware->handle(Object, 1, 1) (Line: 23) Stack\StackedHttpKernel->handle(Object, 1, 1) (Line: 713) Drupal\Core\DrupalKernel->handle(Object) (Line: 19) - Deprecated function: Creation of dynamic property Drupal\mysql\Driver\Database\mysql\Select::$alterMetaData is deprecated in Drupal\Core\Database\Query\Select->addMetaData() (line 178 of core/lib/Drupal/Core/Database/Query/Select.php).
Drupal\Core\Database\Query\Select->addMetaData('entity_type', 'file') (Line: 115) Drupal\Core\Entity\Query\Sql\Query->prepare() (Line: 80) Drupal\Core\Entity\Query\Sql\Query->execute() (Line: 640) Drupal\Core\Entity\EntityStorageBase->loadByProperties(Array) (Line: 63) Drupal\Core\Entity\EntityRepository->loadEntityByUuid('file', '564cef1b-9ba1-44b3-875e-4e7f18dca165') (Line: 95) Drupal\editor\Plugin\Filter\EditorFileReference->process('Es la distancia "ordinaria" ya comentada. Viene definida por la siguiente expresión: ', 'es') (Line: 118) Drupal\filter\Element\ProcessedText::preRenderText(Array) call_user_func_array(Array, Array) (Line: 101) Drupal\Core\Render\Renderer->doTrustedCallback(Array, Array, 'Render #pre_render callbacks must be methods of a class that implements \Drupal\Core\Security\TrustedCallbackInterface or be an anonymous function. The callback was %s. See https://www.drupal.org/node/2966725', 'exception', 'Drupal\Core\Render\Element\RenderCallbackInterface') (Line: 788) Drupal\Core\Render\Renderer->doCallback('#pre_render', Array, Array) (Line: 374) Drupal\Core\Render\Renderer->doRender(Array, ) (Line: 204) Drupal\Core\Render\Renderer->render(Array) (Line: 479) Drupal\Core\Template\TwigExtension->escapeFilter(Object, Array, 'html', NULL, 1) (Line: 88) __TwigTemplate_a7d6005c89ae729617b9a0c2bccb1776->doDisplay(Array, Array) (Line: 405) Twig\Template->displayWithErrorHandling(Array, Array) (Line: 378) Twig\Template->display(Array, Array) (Line: 46) __TwigTemplate_804f7948456cfe20e11a34c43439c7c2->doDisplay(Array, Array) (Line: 405) Twig\Template->displayWithErrorHandling(Array, Array) (Line: 378) Twig\Template->display(Array, Array) (Line: 43) __TwigTemplate_bd990293b89f3b78c69fe0ee2f7828b5->doDisplay(Array, Array) (Line: 405) Twig\Template->displayWithErrorHandling(Array, Array) (Line: 378) Twig\Template->display(Array) (Line: 390) Twig\Template->render(Array) (Line: 55) twig_render_template('themes/contrib/classy/templates/field/field--text-with-summary.html.twig', Array) (Line: 384) Drupal\Core\Theme\ThemeManager->render('field', Array) (Line: 433) Drupal\Core\Render\Renderer->doRender(Array) (Line: 446) Drupal\Core\Render\Renderer->doRender(Array, ) (Line: 204) Drupal\Core\Render\Renderer->render(Array) (Line: 479) Drupal\Core\Template\TwigExtension->escapeFilter(Object, Array, 'html', NULL, 1) (Line: 74) __TwigTemplate_94047fbdba6937b76a4479dfa1763452->doDisplay(Array, Array) (Line: 405) Twig\Template->displayWithErrorHandling(Array, Array) (Line: 378) Twig\Template->display(Array) (Line: 390) Twig\Template->render(Array) (Line: 55) twig_render_template('themes/custom/yg_aesthetic/templates/node.html.twig', Array) (Line: 384) Drupal\Core\Theme\ThemeManager->render('node', Array) (Line: 433) Drupal\Core\Render\Renderer->doRender(Array, ) (Line: 204) Drupal\Core\Render\Renderer->render(Array, ) (Line: 242) Drupal\Core\Render\MainContent\HtmlRenderer->Drupal\Core\Render\MainContent\{closure}() (Line: 580) Drupal\Core\Render\Renderer->executeInRenderContext(Object, Object) (Line: 235) Drupal\Core\Render\MainContent\HtmlRenderer->prepare(Array, Object, Object) (Line: 132) Drupal\Core\Render\MainContent\HtmlRenderer->renderResponse(Array, Object, Object) (Line: 90) Drupal\Core\EventSubscriber\MainContentViewSubscriber->onViewRenderArray(Object, 'kernel.view', Object) call_user_func(Array, Object, 'kernel.view', Object) (Line: 142) Drupal\Component\EventDispatcher\ContainerAwareEventDispatcher->dispatch(Object, 'kernel.view') (Line: 174) Symfony\Component\HttpKernel\HttpKernel->handleRaw(Object, 1) (Line: 81) Symfony\Component\HttpKernel\HttpKernel->handle(Object, 1, 1) (Line: 58) Drupal\Core\StackMiddleware\Session->handle(Object, 1, 1) (Line: 48) Drupal\Core\StackMiddleware\KernelPreHandle->handle(Object, 1, 1) (Line: 191) Drupal\page_cache\StackMiddleware\PageCache->fetch(Object, 1, 1) (Line: 128) Drupal\page_cache\StackMiddleware\PageCache->lookup(Object, 1, 1) (Line: 82) Drupal\page_cache\StackMiddleware\PageCache->handle(Object, 1, 1) (Line: 48) Drupal\Core\StackMiddleware\ReverseProxyMiddleware->handle(Object, 1, 1) (Line: 51) Drupal\Core\StackMiddleware\NegotiationMiddleware->handle(Object, 1, 1) (Line: 23) Stack\StackedHttpKernel->handle(Object, 1, 1) (Line: 713) Drupal\Core\DrupalKernel->handle(Object) (Line: 19) - Deprecated function: Creation of dynamic property Drupal\mysql\Driver\Database\mysql\Select::$alterTags is deprecated in Drupal\Core\Database\Query\Select->addTag() (line 149 of core/lib/Drupal/Core/Database/Query/Select.php).
Drupal\Core\Database\Query\Select->addTag('entity_query') (Line: 147) Drupal\Core\Entity\Query\Sql\Query->prepare() (Line: 80) Drupal\Core\Entity\Query\Sql\Query->execute() (Line: 640) Drupal\Core\Entity\EntityStorageBase->loadByProperties(Array) (Line: 63) Drupal\Core\Entity\EntityRepository->loadEntityByUuid('file', '564cef1b-9ba1-44b3-875e-4e7f18dca165') (Line: 95) Drupal\editor\Plugin\Filter\EditorFileReference->process('Es la distancia "ordinaria" ya comentada. Viene definida por la siguiente expresión: ', 'es') (Line: 118) Drupal\filter\Element\ProcessedText::preRenderText(Array) call_user_func_array(Array, Array) (Line: 101) Drupal\Core\Render\Renderer->doTrustedCallback(Array, Array, 'Render #pre_render callbacks must be methods of a class that implements \Drupal\Core\Security\TrustedCallbackInterface or be an anonymous function. The callback was %s. See https://www.drupal.org/node/2966725', 'exception', 'Drupal\Core\Render\Element\RenderCallbackInterface') (Line: 788) Drupal\Core\Render\Renderer->doCallback('#pre_render', Array, Array) (Line: 374) Drupal\Core\Render\Renderer->doRender(Array, ) (Line: 204) Drupal\Core\Render\Renderer->render(Array) (Line: 479) Drupal\Core\Template\TwigExtension->escapeFilter(Object, Array, 'html', NULL, 1) (Line: 88) __TwigTemplate_a7d6005c89ae729617b9a0c2bccb1776->doDisplay(Array, Array) (Line: 405) Twig\Template->displayWithErrorHandling(Array, Array) (Line: 378) Twig\Template->display(Array, Array) (Line: 46) __TwigTemplate_804f7948456cfe20e11a34c43439c7c2->doDisplay(Array, Array) (Line: 405) Twig\Template->displayWithErrorHandling(Array, Array) (Line: 378) Twig\Template->display(Array, Array) (Line: 43) __TwigTemplate_bd990293b89f3b78c69fe0ee2f7828b5->doDisplay(Array, Array) (Line: 405) Twig\Template->displayWithErrorHandling(Array, Array) (Line: 378) Twig\Template->display(Array) (Line: 390) Twig\Template->render(Array) (Line: 55) twig_render_template('themes/contrib/classy/templates/field/field--text-with-summary.html.twig', Array) (Line: 384) Drupal\Core\Theme\ThemeManager->render('field', Array) (Line: 433) Drupal\Core\Render\Renderer->doRender(Array) (Line: 446) Drupal\Core\Render\Renderer->doRender(Array, ) (Line: 204) Drupal\Core\Render\Renderer->render(Array) (Line: 479) Drupal\Core\Template\TwigExtension->escapeFilter(Object, Array, 'html', NULL, 1) (Line: 74) __TwigTemplate_94047fbdba6937b76a4479dfa1763452->doDisplay(Array, Array) (Line: 405) Twig\Template->displayWithErrorHandling(Array, Array) (Line: 378) Twig\Template->display(Array) (Line: 390) Twig\Template->render(Array) (Line: 55) twig_render_template('themes/custom/yg_aesthetic/templates/node.html.twig', Array) (Line: 384) Drupal\Core\Theme\ThemeManager->render('node', Array) (Line: 433) Drupal\Core\Render\Renderer->doRender(Array, ) (Line: 204) Drupal\Core\Render\Renderer->render(Array, ) (Line: 242) Drupal\Core\Render\MainContent\HtmlRenderer->Drupal\Core\Render\MainContent\{closure}() (Line: 580) Drupal\Core\Render\Renderer->executeInRenderContext(Object, Object) (Line: 235) Drupal\Core\Render\MainContent\HtmlRenderer->prepare(Array, Object, Object) (Line: 132) Drupal\Core\Render\MainContent\HtmlRenderer->renderResponse(Array, Object, Object) (Line: 90) Drupal\Core\EventSubscriber\MainContentViewSubscriber->onViewRenderArray(Object, 'kernel.view', Object) call_user_func(Array, Object, 'kernel.view', Object) (Line: 142) Drupal\Component\EventDispatcher\ContainerAwareEventDispatcher->dispatch(Object, 'kernel.view') (Line: 174) Symfony\Component\HttpKernel\HttpKernel->handleRaw(Object, 1) (Line: 81) Symfony\Component\HttpKernel\HttpKernel->handle(Object, 1, 1) (Line: 58) Drupal\Core\StackMiddleware\Session->handle(Object, 1, 1) (Line: 48) Drupal\Core\StackMiddleware\KernelPreHandle->handle(Object, 1, 1) (Line: 191) Drupal\page_cache\StackMiddleware\PageCache->fetch(Object, 1, 1) (Line: 128) Drupal\page_cache\StackMiddleware\PageCache->lookup(Object, 1, 1) (Line: 82) Drupal\page_cache\StackMiddleware\PageCache->handle(Object, 1, 1) (Line: 48) Drupal\Core\StackMiddleware\ReverseProxyMiddleware->handle(Object, 1, 1) (Line: 51) Drupal\Core\StackMiddleware\NegotiationMiddleware->handle(Object, 1, 1) (Line: 23) Stack\StackedHttpKernel->handle(Object, 1, 1) (Line: 713) Drupal\Core\DrupalKernel->handle(Object) (Line: 19) - Deprecated function: Creation of dynamic property Drupal\mysql\Driver\Database\mysql\Select::$alterTags is deprecated in Drupal\Core\Database\Query\Select->addTag() (line 149 of core/lib/Drupal/Core/Database/Query/Select.php).
Drupal\Core\Database\Query\Select->addTag('file_load_multiple') (Line: 696) Drupal\Core\Entity\Sql\SqlContentEntityStorage->buildQuery(Array) (Line: 422) Drupal\Core\Entity\Sql\SqlContentEntityStorage->getFromStorage(Array) (Line: 393) Drupal\Core\Entity\Sql\SqlContentEntityStorage->doLoadMultiple(Array) (Line: 346) Drupal\Core\Entity\EntityStorageBase->loadMultiple(Array) (Line: 641) Drupal\Core\Entity\EntityStorageBase->loadByProperties(Array) (Line: 63) Drupal\Core\Entity\EntityRepository->loadEntityByUuid('file', '564cef1b-9ba1-44b3-875e-4e7f18dca165') (Line: 95) Drupal\editor\Plugin\Filter\EditorFileReference->process('Es la distancia "ordinaria" ya comentada. Viene definida por la siguiente expresión: ', 'es') (Line: 118) Drupal\filter\Element\ProcessedText::preRenderText(Array) call_user_func_array(Array, Array) (Line: 101) Drupal\Core\Render\Renderer->doTrustedCallback(Array, Array, 'Render #pre_render callbacks must be methods of a class that implements \Drupal\Core\Security\TrustedCallbackInterface or be an anonymous function. The callback was %s. See https://www.drupal.org/node/2966725', 'exception', 'Drupal\Core\Render\Element\RenderCallbackInterface') (Line: 788) Drupal\Core\Render\Renderer->doCallback('#pre_render', Array, Array) (Line: 374) Drupal\Core\Render\Renderer->doRender(Array, ) (Line: 204) Drupal\Core\Render\Renderer->render(Array) (Line: 479) Drupal\Core\Template\TwigExtension->escapeFilter(Object, Array, 'html', NULL, 1) (Line: 88) __TwigTemplate_a7d6005c89ae729617b9a0c2bccb1776->doDisplay(Array, Array) (Line: 405) Twig\Template->displayWithErrorHandling(Array, Array) (Line: 378) Twig\Template->display(Array, Array) (Line: 46) __TwigTemplate_804f7948456cfe20e11a34c43439c7c2->doDisplay(Array, Array) (Line: 405) Twig\Template->displayWithErrorHandling(Array, Array) (Line: 378) Twig\Template->display(Array, Array) (Line: 43) __TwigTemplate_bd990293b89f3b78c69fe0ee2f7828b5->doDisplay(Array, Array) (Line: 405) Twig\Template->displayWithErrorHandling(Array, Array) (Line: 378) Twig\Template->display(Array) (Line: 390) Twig\Template->render(Array) (Line: 55) twig_render_template('themes/contrib/classy/templates/field/field--text-with-summary.html.twig', Array) (Line: 384) Drupal\Core\Theme\ThemeManager->render('field', Array) (Line: 433) Drupal\Core\Render\Renderer->doRender(Array) (Line: 446) Drupal\Core\Render\Renderer->doRender(Array, ) (Line: 204) Drupal\Core\Render\Renderer->render(Array) (Line: 479) Drupal\Core\Template\TwigExtension->escapeFilter(Object, Array, 'html', NULL, 1) (Line: 74) __TwigTemplate_94047fbdba6937b76a4479dfa1763452->doDisplay(Array, Array) (Line: 405) Twig\Template->displayWithErrorHandling(Array, Array) (Line: 378) Twig\Template->display(Array) (Line: 390) Twig\Template->render(Array) (Line: 55) twig_render_template('themes/custom/yg_aesthetic/templates/node.html.twig', Array) (Line: 384) Drupal\Core\Theme\ThemeManager->render('node', Array) (Line: 433) Drupal\Core\Render\Renderer->doRender(Array, ) (Line: 204) Drupal\Core\Render\Renderer->render(Array, ) (Line: 242) Drupal\Core\Render\MainContent\HtmlRenderer->Drupal\Core\Render\MainContent\{closure}() (Line: 580) Drupal\Core\Render\Renderer->executeInRenderContext(Object, Object) (Line: 235) Drupal\Core\Render\MainContent\HtmlRenderer->prepare(Array, Object, Object) (Line: 132) Drupal\Core\Render\MainContent\HtmlRenderer->renderResponse(Array, Object, Object) (Line: 90) Drupal\Core\EventSubscriber\MainContentViewSubscriber->onViewRenderArray(Object, 'kernel.view', Object) call_user_func(Array, Object, 'kernel.view', Object) (Line: 142) Drupal\Component\EventDispatcher\ContainerAwareEventDispatcher->dispatch(Object, 'kernel.view') (Line: 174) Symfony\Component\HttpKernel\HttpKernel->handleRaw(Object, 1) (Line: 81) Symfony\Component\HttpKernel\HttpKernel->handle(Object, 1, 1) (Line: 58) Drupal\Core\StackMiddleware\Session->handle(Object, 1, 1) (Line: 48) Drupal\Core\StackMiddleware\KernelPreHandle->handle(Object, 1, 1) (Line: 191) Drupal\page_cache\StackMiddleware\PageCache->fetch(Object, 1, 1) (Line: 128) Drupal\page_cache\StackMiddleware\PageCache->lookup(Object, 1, 1) (Line: 82) Drupal\page_cache\StackMiddleware\PageCache->handle(Object, 1, 1) (Line: 48) Drupal\Core\StackMiddleware\ReverseProxyMiddleware->handle(Object, 1, 1) (Line: 51) Drupal\Core\StackMiddleware\NegotiationMiddleware->handle(Object, 1, 1) (Line: 23) Stack\StackedHttpKernel->handle(Object, 1, 1) (Line: 713) Drupal\Core\DrupalKernel->handle(Object) (Line: 19) - Deprecated function: Creation of dynamic property Drupal\mysql\Driver\Database\mysql\Select::$alterMetaData is deprecated in Drupal\Core\Database\Query\Select->addMetaData() (line 178 of core/lib/Drupal/Core/Database/Query/Select.php).
Drupal\Core\Database\Query\Select->addMetaData('entity_type', 'file') (Line: 115) Drupal\Core\Entity\Query\Sql\Query->prepare() (Line: 80) Drupal\Core\Entity\Query\Sql\Query->execute() (Line: 640) Drupal\Core\Entity\EntityStorageBase->loadByProperties(Array) (Line: 63) Drupal\Core\Entity\EntityRepository->loadEntityByUuid('file', '564cef1b-9ba1-44b3-875e-4e7f18dca165') (Line: 124) Drupal\editor\Plugin\Filter\EditorFileReference->process('Es la distancia "ordinaria" ya comentada. Viene definida por la siguiente expresión: ', 'es') (Line: 118) Drupal\filter\Element\ProcessedText::preRenderText(Array) call_user_func_array(Array, Array) (Line: 101) Drupal\Core\Render\Renderer->doTrustedCallback(Array, Array, 'Render #pre_render callbacks must be methods of a class that implements \Drupal\Core\Security\TrustedCallbackInterface or be an anonymous function. The callback was %s. See https://www.drupal.org/node/2966725', 'exception', 'Drupal\Core\Render\Element\RenderCallbackInterface') (Line: 788) Drupal\Core\Render\Renderer->doCallback('#pre_render', Array, Array) (Line: 374) Drupal\Core\Render\Renderer->doRender(Array, ) (Line: 204) Drupal\Core\Render\Renderer->render(Array) (Line: 479) Drupal\Core\Template\TwigExtension->escapeFilter(Object, Array, 'html', NULL, 1) (Line: 88) __TwigTemplate_a7d6005c89ae729617b9a0c2bccb1776->doDisplay(Array, Array) (Line: 405) Twig\Template->displayWithErrorHandling(Array, Array) (Line: 378) Twig\Template->display(Array, Array) (Line: 46) __TwigTemplate_804f7948456cfe20e11a34c43439c7c2->doDisplay(Array, Array) (Line: 405) Twig\Template->displayWithErrorHandling(Array, Array) (Line: 378) Twig\Template->display(Array, Array) (Line: 43) __TwigTemplate_bd990293b89f3b78c69fe0ee2f7828b5->doDisplay(Array, Array) (Line: 405) Twig\Template->displayWithErrorHandling(Array, Array) (Line: 378) Twig\Template->display(Array) (Line: 390) Twig\Template->render(Array) (Line: 55) twig_render_template('themes/contrib/classy/templates/field/field--text-with-summary.html.twig', Array) (Line: 384) Drupal\Core\Theme\ThemeManager->render('field', Array) (Line: 433) Drupal\Core\Render\Renderer->doRender(Array) (Line: 446) Drupal\Core\Render\Renderer->doRender(Array, ) (Line: 204) Drupal\Core\Render\Renderer->render(Array) (Line: 479) Drupal\Core\Template\TwigExtension->escapeFilter(Object, Array, 'html', NULL, 1) (Line: 74) __TwigTemplate_94047fbdba6937b76a4479dfa1763452->doDisplay(Array, Array) (Line: 405) Twig\Template->displayWithErrorHandling(Array, Array) (Line: 378) Twig\Template->display(Array) (Line: 390) Twig\Template->render(Array) (Line: 55) twig_render_template('themes/custom/yg_aesthetic/templates/node.html.twig', Array) (Line: 384) Drupal\Core\Theme\ThemeManager->render('node', Array) (Line: 433) Drupal\Core\Render\Renderer->doRender(Array, ) (Line: 204) Drupal\Core\Render\Renderer->render(Array, ) (Line: 242) Drupal\Core\Render\MainContent\HtmlRenderer->Drupal\Core\Render\MainContent\{closure}() (Line: 580) Drupal\Core\Render\Renderer->executeInRenderContext(Object, Object) (Line: 235) Drupal\Core\Render\MainContent\HtmlRenderer->prepare(Array, Object, Object) (Line: 132) Drupal\Core\Render\MainContent\HtmlRenderer->renderResponse(Array, Object, Object) (Line: 90) Drupal\Core\EventSubscriber\MainContentViewSubscriber->onViewRenderArray(Object, 'kernel.view', Object) call_user_func(Array, Object, 'kernel.view', Object) (Line: 142) Drupal\Component\EventDispatcher\ContainerAwareEventDispatcher->dispatch(Object, 'kernel.view') (Line: 174) Symfony\Component\HttpKernel\HttpKernel->handleRaw(Object, 1) (Line: 81) Symfony\Component\HttpKernel\HttpKernel->handle(Object, 1, 1) (Line: 58) Drupal\Core\StackMiddleware\Session->handle(Object, 1, 1) (Line: 48) Drupal\Core\StackMiddleware\KernelPreHandle->handle(Object, 1, 1) (Line: 191) Drupal\page_cache\StackMiddleware\PageCache->fetch(Object, 1, 1) (Line: 128) Drupal\page_cache\StackMiddleware\PageCache->lookup(Object, 1, 1) (Line: 82) Drupal\page_cache\StackMiddleware\PageCache->handle(Object, 1, 1) (Line: 48) Drupal\Core\StackMiddleware\ReverseProxyMiddleware->handle(Object, 1, 1) (Line: 51) Drupal\Core\StackMiddleware\NegotiationMiddleware->handle(Object, 1, 1) (Line: 23) Stack\StackedHttpKernel->handle(Object, 1, 1) (Line: 713) Drupal\Core\DrupalKernel->handle(Object) (Line: 19) - Deprecated function: Creation of dynamic property Drupal\mysql\Driver\Database\mysql\Select::$alterTags is deprecated in Drupal\Core\Database\Query\Select->addTag() (line 149 of core/lib/Drupal/Core/Database/Query/Select.php).
Drupal\Core\Database\Query\Select->addTag('entity_query') (Line: 147) Drupal\Core\Entity\Query\Sql\Query->prepare() (Line: 80) Drupal\Core\Entity\Query\Sql\Query->execute() (Line: 640) Drupal\Core\Entity\EntityStorageBase->loadByProperties(Array) (Line: 63) Drupal\Core\Entity\EntityRepository->loadEntityByUuid('file', '564cef1b-9ba1-44b3-875e-4e7f18dca165') (Line: 124) Drupal\editor\Plugin\Filter\EditorFileReference->process('Es la distancia "ordinaria" ya comentada. Viene definida por la siguiente expresión: ', 'es') (Line: 118) Drupal\filter\Element\ProcessedText::preRenderText(Array) call_user_func_array(Array, Array) (Line: 101) Drupal\Core\Render\Renderer->doTrustedCallback(Array, Array, 'Render #pre_render callbacks must be methods of a class that implements \Drupal\Core\Security\TrustedCallbackInterface or be an anonymous function. The callback was %s. See https://www.drupal.org/node/2966725', 'exception', 'Drupal\Core\Render\Element\RenderCallbackInterface') (Line: 788) Drupal\Core\Render\Renderer->doCallback('#pre_render', Array, Array) (Line: 374) Drupal\Core\Render\Renderer->doRender(Array, ) (Line: 204) Drupal\Core\Render\Renderer->render(Array) (Line: 479) Drupal\Core\Template\TwigExtension->escapeFilter(Object, Array, 'html', NULL, 1) (Line: 88) __TwigTemplate_a7d6005c89ae729617b9a0c2bccb1776->doDisplay(Array, Array) (Line: 405) Twig\Template->displayWithErrorHandling(Array, Array) (Line: 378) Twig\Template->display(Array, Array) (Line: 46) __TwigTemplate_804f7948456cfe20e11a34c43439c7c2->doDisplay(Array, Array) (Line: 405) Twig\Template->displayWithErrorHandling(Array, Array) (Line: 378) Twig\Template->display(Array, Array) (Line: 43) __TwigTemplate_bd990293b89f3b78c69fe0ee2f7828b5->doDisplay(Array, Array) (Line: 405) Twig\Template->displayWithErrorHandling(Array, Array) (Line: 378) Twig\Template->display(Array) (Line: 390) Twig\Template->render(Array) (Line: 55) twig_render_template('themes/contrib/classy/templates/field/field--text-with-summary.html.twig', Array) (Line: 384) Drupal\Core\Theme\ThemeManager->render('field', Array) (Line: 433) Drupal\Core\Render\Renderer->doRender(Array) (Line: 446) Drupal\Core\Render\Renderer->doRender(Array, ) (Line: 204) Drupal\Core\Render\Renderer->render(Array) (Line: 479) Drupal\Core\Template\TwigExtension->escapeFilter(Object, Array, 'html', NULL, 1) (Line: 74) __TwigTemplate_94047fbdba6937b76a4479dfa1763452->doDisplay(Array, Array) (Line: 405) Twig\Template->displayWithErrorHandling(Array, Array) (Line: 378) Twig\Template->display(Array) (Line: 390) Twig\Template->render(Array) (Line: 55) twig_render_template('themes/custom/yg_aesthetic/templates/node.html.twig', Array) (Line: 384) Drupal\Core\Theme\ThemeManager->render('node', Array) (Line: 433) Drupal\Core\Render\Renderer->doRender(Array, ) (Line: 204) Drupal\Core\Render\Renderer->render(Array, ) (Line: 242) Drupal\Core\Render\MainContent\HtmlRenderer->Drupal\Core\Render\MainContent\{closure}() (Line: 580) Drupal\Core\Render\Renderer->executeInRenderContext(Object, Object) (Line: 235) Drupal\Core\Render\MainContent\HtmlRenderer->prepare(Array, Object, Object) (Line: 132) Drupal\Core\Render\MainContent\HtmlRenderer->renderResponse(Array, Object, Object) (Line: 90) Drupal\Core\EventSubscriber\MainContentViewSubscriber->onViewRenderArray(Object, 'kernel.view', Object) call_user_func(Array, Object, 'kernel.view', Object) (Line: 142) Drupal\Component\EventDispatcher\ContainerAwareEventDispatcher->dispatch(Object, 'kernel.view') (Line: 174) Symfony\Component\HttpKernel\HttpKernel->handleRaw(Object, 1) (Line: 81) Symfony\Component\HttpKernel\HttpKernel->handle(Object, 1, 1) (Line: 58) Drupal\Core\StackMiddleware\Session->handle(Object, 1, 1) (Line: 48) Drupal\Core\StackMiddleware\KernelPreHandle->handle(Object, 1, 1) (Line: 191) Drupal\page_cache\StackMiddleware\PageCache->fetch(Object, 1, 1) (Line: 128) Drupal\page_cache\StackMiddleware\PageCache->lookup(Object, 1, 1) (Line: 82) Drupal\page_cache\StackMiddleware\PageCache->handle(Object, 1, 1) (Line: 48) Drupal\Core\StackMiddleware\ReverseProxyMiddleware->handle(Object, 1, 1) (Line: 51) Drupal\Core\StackMiddleware\NegotiationMiddleware->handle(Object, 1, 1) (Line: 23) Stack\StackedHttpKernel->handle(Object, 1, 1) (Line: 713) Drupal\Core\DrupalKernel->handle(Object) (Line: 19) - Deprecated function: Creation of dynamic property Drupal\mysql\Driver\Database\mysql\Select::$alterTags is deprecated in Drupal\Core\Database\Query\Select->addTag() (line 149 of core/lib/Drupal/Core/Database/Query/Select.php).
Drupal\Core\Database\Query\Select->addTag('node_access') (Line: 51) Drupal\book\BookOutlineStorage->loadMultiple(Array) (Line: 1021) Drupal\book\BookManager->bookTreeCheckAccess(Array, Array) (Line: 701) Drupal\book\BookManager->bookTreeBuild('828', Array) (Line: 567) Drupal\book\BookManager->bookTreeAllData('828', Array, 6) (Line: 792) Drupal\book\BookManager->bookTreeGetFlat(Array) (Line: 109) Drupal\book\BookOutline->childrenLinks(Array) (Line: 403) template_preprocess_book_navigation(Array, 'book_navigation', Array) call_user_func_array('template_preprocess_book_navigation', Array) (Line: 287) Drupal\Core\Theme\ThemeManager->render('book_navigation', Array) (Line: 433) Drupal\Core\Render\Renderer->doRender(Array) (Line: 446) Drupal\Core\Render\Renderer->doRender(Array, ) (Line: 204) Drupal\Core\Render\Renderer->render(Array) (Line: 479) Drupal\Core\Template\TwigExtension->escapeFilter(Object, Array, 'html', NULL, 1) (Line: 74) __TwigTemplate_94047fbdba6937b76a4479dfa1763452->doDisplay(Array, Array) (Line: 405) Twig\Template->displayWithErrorHandling(Array, Array) (Line: 378) Twig\Template->display(Array) (Line: 390) Twig\Template->render(Array) (Line: 55) twig_render_template('themes/custom/yg_aesthetic/templates/node.html.twig', Array) (Line: 384) Drupal\Core\Theme\ThemeManager->render('node', Array) (Line: 433) Drupal\Core\Render\Renderer->doRender(Array, ) (Line: 204) Drupal\Core\Render\Renderer->render(Array, ) (Line: 242) Drupal\Core\Render\MainContent\HtmlRenderer->Drupal\Core\Render\MainContent\{closure}() (Line: 580) Drupal\Core\Render\Renderer->executeInRenderContext(Object, Object) (Line: 235) Drupal\Core\Render\MainContent\HtmlRenderer->prepare(Array, Object, Object) (Line: 132) Drupal\Core\Render\MainContent\HtmlRenderer->renderResponse(Array, Object, Object) (Line: 90) Drupal\Core\EventSubscriber\MainContentViewSubscriber->onViewRenderArray(Object, 'kernel.view', Object) call_user_func(Array, Object, 'kernel.view', Object) (Line: 142) Drupal\Component\EventDispatcher\ContainerAwareEventDispatcher->dispatch(Object, 'kernel.view') (Line: 174) Symfony\Component\HttpKernel\HttpKernel->handleRaw(Object, 1) (Line: 81) Symfony\Component\HttpKernel\HttpKernel->handle(Object, 1, 1) (Line: 58) Drupal\Core\StackMiddleware\Session->handle(Object, 1, 1) (Line: 48) Drupal\Core\StackMiddleware\KernelPreHandle->handle(Object, 1, 1) (Line: 191) Drupal\page_cache\StackMiddleware\PageCache->fetch(Object, 1, 1) (Line: 128) Drupal\page_cache\StackMiddleware\PageCache->lookup(Object, 1, 1) (Line: 82) Drupal\page_cache\StackMiddleware\PageCache->handle(Object, 1, 1) (Line: 48) Drupal\Core\StackMiddleware\ReverseProxyMiddleware->handle(Object, 1, 1) (Line: 51) Drupal\Core\StackMiddleware\NegotiationMiddleware->handle(Object, 1, 1) (Line: 23) Stack\StackedHttpKernel->handle(Object, 1, 1) (Line: 713) Drupal\Core\DrupalKernel->handle(Object) (Line: 19) - Deprecated function: Creation of dynamic property Drupal\mysql\Driver\Database\mysql\Select::$alterMetaData is deprecated in Drupal\Core\Database\Query\Select->addMetaData() (line 178 of core/lib/Drupal/Core/Database/Query/Select.php).
Drupal\Core\Database\Query\Select->addMetaData('base_table', 'book') (Line: 52) Drupal\book\BookOutlineStorage->loadMultiple(Array) (Line: 1021) Drupal\book\BookManager->bookTreeCheckAccess(Array, Array) (Line: 701) Drupal\book\BookManager->bookTreeBuild('828', Array) (Line: 567) Drupal\book\BookManager->bookTreeAllData('828', Array, 6) (Line: 792) Drupal\book\BookManager->bookTreeGetFlat(Array) (Line: 109) Drupal\book\BookOutline->childrenLinks(Array) (Line: 403) template_preprocess_book_navigation(Array, 'book_navigation', Array) call_user_func_array('template_preprocess_book_navigation', Array) (Line: 287) Drupal\Core\Theme\ThemeManager->render('book_navigation', Array) (Line: 433) Drupal\Core\Render\Renderer->doRender(Array) (Line: 446) Drupal\Core\Render\Renderer->doRender(Array, ) (Line: 204) Drupal\Core\Render\Renderer->render(Array) (Line: 479) Drupal\Core\Template\TwigExtension->escapeFilter(Object, Array, 'html', NULL, 1) (Line: 74) __TwigTemplate_94047fbdba6937b76a4479dfa1763452->doDisplay(Array, Array) (Line: 405) Twig\Template->displayWithErrorHandling(Array, Array) (Line: 378) Twig\Template->display(Array) (Line: 390) Twig\Template->render(Array) (Line: 55) twig_render_template('themes/custom/yg_aesthetic/templates/node.html.twig', Array) (Line: 384) Drupal\Core\Theme\ThemeManager->render('node', Array) (Line: 433) Drupal\Core\Render\Renderer->doRender(Array, ) (Line: 204) Drupal\Core\Render\Renderer->render(Array, ) (Line: 242) Drupal\Core\Render\MainContent\HtmlRenderer->Drupal\Core\Render\MainContent\{closure}() (Line: 580) Drupal\Core\Render\Renderer->executeInRenderContext(Object, Object) (Line: 235) Drupal\Core\Render\MainContent\HtmlRenderer->prepare(Array, Object, Object) (Line: 132) Drupal\Core\Render\MainContent\HtmlRenderer->renderResponse(Array, Object, Object) (Line: 90) Drupal\Core\EventSubscriber\MainContentViewSubscriber->onViewRenderArray(Object, 'kernel.view', Object) call_user_func(Array, Object, 'kernel.view', Object) (Line: 142) Drupal\Component\EventDispatcher\ContainerAwareEventDispatcher->dispatch(Object, 'kernel.view') (Line: 174) Symfony\Component\HttpKernel\HttpKernel->handleRaw(Object, 1) (Line: 81) Symfony\Component\HttpKernel\HttpKernel->handle(Object, 1, 1) (Line: 58) Drupal\Core\StackMiddleware\Session->handle(Object, 1, 1) (Line: 48) Drupal\Core\StackMiddleware\KernelPreHandle->handle(Object, 1, 1) (Line: 191) Drupal\page_cache\StackMiddleware\PageCache->fetch(Object, 1, 1) (Line: 128) Drupal\page_cache\StackMiddleware\PageCache->lookup(Object, 1, 1) (Line: 82) Drupal\page_cache\StackMiddleware\PageCache->handle(Object, 1, 1) (Line: 48) Drupal\Core\StackMiddleware\ReverseProxyMiddleware->handle(Object, 1, 1) (Line: 51) Drupal\Core\StackMiddleware\NegotiationMiddleware->handle(Object, 1, 1) (Line: 23) Stack\StackedHttpKernel->handle(Object, 1, 1) (Line: 713) Drupal\Core\DrupalKernel->handle(Object) (Line: 19) - Deprecated function: Creation of dynamic property Drupal\mysql\Driver\Database\mysql\Select::$alterTags is deprecated in Drupal\Core\Database\Query\Select->addTag() (line 149 of core/lib/Drupal/Core/Database/Query/Select.php).
Drupal\Core\Database\Query\Select->addTag('node_access') (Line: 51) Drupal\book\BookOutlineStorage->loadMultiple(Array, 1) (Line: 831) Drupal\book\BookManager->loadBookLinks(Array, 1) (Line: 823) Drupal\book\BookManager->loadBookLink('877') (Line: 419) template_preprocess_book_navigation(Array, 'book_navigation', Array) call_user_func_array('template_preprocess_book_navigation', Array) (Line: 287) Drupal\Core\Theme\ThemeManager->render('book_navigation', Array) (Line: 433) Drupal\Core\Render\Renderer->doRender(Array) (Line: 446) Drupal\Core\Render\Renderer->doRender(Array, ) (Line: 204) Drupal\Core\Render\Renderer->render(Array) (Line: 479) Drupal\Core\Template\TwigExtension->escapeFilter(Object, Array, 'html', NULL, 1) (Line: 74) __TwigTemplate_94047fbdba6937b76a4479dfa1763452->doDisplay(Array, Array) (Line: 405) Twig\Template->displayWithErrorHandling(Array, Array) (Line: 378) Twig\Template->display(Array) (Line: 390) Twig\Template->render(Array) (Line: 55) twig_render_template('themes/custom/yg_aesthetic/templates/node.html.twig', Array) (Line: 384) Drupal\Core\Theme\ThemeManager->render('node', Array) (Line: 433) Drupal\Core\Render\Renderer->doRender(Array, ) (Line: 204) Drupal\Core\Render\Renderer->render(Array, ) (Line: 242) Drupal\Core\Render\MainContent\HtmlRenderer->Drupal\Core\Render\MainContent\{closure}() (Line: 580) Drupal\Core\Render\Renderer->executeInRenderContext(Object, Object) (Line: 235) Drupal\Core\Render\MainContent\HtmlRenderer->prepare(Array, Object, Object) (Line: 132) Drupal\Core\Render\MainContent\HtmlRenderer->renderResponse(Array, Object, Object) (Line: 90) Drupal\Core\EventSubscriber\MainContentViewSubscriber->onViewRenderArray(Object, 'kernel.view', Object) call_user_func(Array, Object, 'kernel.view', Object) (Line: 142) Drupal\Component\EventDispatcher\ContainerAwareEventDispatcher->dispatch(Object, 'kernel.view') (Line: 174) Symfony\Component\HttpKernel\HttpKernel->handleRaw(Object, 1) (Line: 81) Symfony\Component\HttpKernel\HttpKernel->handle(Object, 1, 1) (Line: 58) Drupal\Core\StackMiddleware\Session->handle(Object, 1, 1) (Line: 48) Drupal\Core\StackMiddleware\KernelPreHandle->handle(Object, 1, 1) (Line: 191) Drupal\page_cache\StackMiddleware\PageCache->fetch(Object, 1, 1) (Line: 128) Drupal\page_cache\StackMiddleware\PageCache->lookup(Object, 1, 1) (Line: 82) Drupal\page_cache\StackMiddleware\PageCache->handle(Object, 1, 1) (Line: 48) Drupal\Core\StackMiddleware\ReverseProxyMiddleware->handle(Object, 1, 1) (Line: 51) Drupal\Core\StackMiddleware\NegotiationMiddleware->handle(Object, 1, 1) (Line: 23) Stack\StackedHttpKernel->handle(Object, 1, 1) (Line: 713) Drupal\Core\DrupalKernel->handle(Object) (Line: 19) - Deprecated function: Creation of dynamic property Drupal\mysql\Driver\Database\mysql\Select::$alterMetaData is deprecated in Drupal\Core\Database\Query\Select->addMetaData() (line 178 of core/lib/Drupal/Core/Database/Query/Select.php).
Drupal\Core\Database\Query\Select->addMetaData('base_table', 'book') (Line: 52) Drupal\book\BookOutlineStorage->loadMultiple(Array, 1) (Line: 831) Drupal\book\BookManager->loadBookLinks(Array, 1) (Line: 823) Drupal\book\BookManager->loadBookLink('877') (Line: 419) template_preprocess_book_navigation(Array, 'book_navigation', Array) call_user_func_array('template_preprocess_book_navigation', Array) (Line: 287) Drupal\Core\Theme\ThemeManager->render('book_navigation', Array) (Line: 433) Drupal\Core\Render\Renderer->doRender(Array) (Line: 446) Drupal\Core\Render\Renderer->doRender(Array, ) (Line: 204) Drupal\Core\Render\Renderer->render(Array) (Line: 479) Drupal\Core\Template\TwigExtension->escapeFilter(Object, Array, 'html', NULL, 1) (Line: 74) __TwigTemplate_94047fbdba6937b76a4479dfa1763452->doDisplay(Array, Array) (Line: 405) Twig\Template->displayWithErrorHandling(Array, Array) (Line: 378) Twig\Template->display(Array) (Line: 390) Twig\Template->render(Array) (Line: 55) twig_render_template('themes/custom/yg_aesthetic/templates/node.html.twig', Array) (Line: 384) Drupal\Core\Theme\ThemeManager->render('node', Array) (Line: 433) Drupal\Core\Render\Renderer->doRender(Array, ) (Line: 204) Drupal\Core\Render\Renderer->render(Array, ) (Line: 242) Drupal\Core\Render\MainContent\HtmlRenderer->Drupal\Core\Render\MainContent\{closure}() (Line: 580) Drupal\Core\Render\Renderer->executeInRenderContext(Object, Object) (Line: 235) Drupal\Core\Render\MainContent\HtmlRenderer->prepare(Array, Object, Object) (Line: 132) Drupal\Core\Render\MainContent\HtmlRenderer->renderResponse(Array, Object, Object) (Line: 90) Drupal\Core\EventSubscriber\MainContentViewSubscriber->onViewRenderArray(Object, 'kernel.view', Object) call_user_func(Array, Object, 'kernel.view', Object) (Line: 142) Drupal\Component\EventDispatcher\ContainerAwareEventDispatcher->dispatch(Object, 'kernel.view') (Line: 174) Symfony\Component\HttpKernel\HttpKernel->handleRaw(Object, 1) (Line: 81) Symfony\Component\HttpKernel\HttpKernel->handle(Object, 1, 1) (Line: 58) Drupal\Core\StackMiddleware\Session->handle(Object, 1, 1) (Line: 48) Drupal\Core\StackMiddleware\KernelPreHandle->handle(Object, 1, 1) (Line: 191) Drupal\page_cache\StackMiddleware\PageCache->fetch(Object, 1, 1) (Line: 128) Drupal\page_cache\StackMiddleware\PageCache->lookup(Object, 1, 1) (Line: 82) Drupal\page_cache\StackMiddleware\PageCache->handle(Object, 1, 1) (Line: 48) Drupal\Core\StackMiddleware\ReverseProxyMiddleware->handle(Object, 1, 1) (Line: 51) Drupal\Core\StackMiddleware\NegotiationMiddleware->handle(Object, 1, 1) (Line: 23) Stack\StackedHttpKernel->handle(Object, 1, 1) (Line: 713) Drupal\Core\DrupalKernel->handle(Object) (Line: 19) - Deprecated function: Return type of Drupal\google_analytics\Component\Render\GoogleAnalyticsJavaScriptSnippet::jsonSerialize() should either be compatible with JsonSerializable::jsonSerialize(): mixed, or the #[\ReturnTypeWillChange] attribute should be used to temporarily suppress the notice in include() (line 10 of modules/contrib/google_analytics/src/Component/Render/GoogleAnalyticsJavaScriptSnippet.php).
include('/var/www/vhosts/interactivechaos.ovh/httpdocs/modules/contrib/google_analytics/src/Component/Render/GoogleAnalyticsJavaScriptSnippet.php') (Line: 578) Composer\Autoload\ClassLoader::Composer\Autoload\{closure}('/var/www/vhosts/interactivechaos.ovh/httpdocs/modules/contrib/google_analytics/src/Component/Render/GoogleAnalyticsJavaScriptSnippet.php') (Line: 432) Composer\Autoload\ClassLoader->loadClass('Drupal\google_analytics\Component\Render\GoogleAnalyticsJavaScriptSnippet') (Line: 372) google_analytics_page_attachments(Array) (Line: 313) Drupal\Core\Render\MainContent\HtmlRenderer->Drupal\Core\Render\MainContent\{closure}(Object, 'google_analytics') (Line: 405) Drupal\Core\Extension\ModuleHandler->invokeAllWith('page_attachments', Object) (Line: 310) Drupal\Core\Render\MainContent\HtmlRenderer->invokePageAttachmentHooks(Array) (Line: 288) Drupal\Core\Render\MainContent\HtmlRenderer->prepare(Array, Object, Object) (Line: 132) Drupal\Core\Render\MainContent\HtmlRenderer->renderResponse(Array, Object, Object) (Line: 90) Drupal\Core\EventSubscriber\MainContentViewSubscriber->onViewRenderArray(Object, 'kernel.view', Object) call_user_func(Array, Object, 'kernel.view', Object) (Line: 142) Drupal\Component\EventDispatcher\ContainerAwareEventDispatcher->dispatch(Object, 'kernel.view') (Line: 174) Symfony\Component\HttpKernel\HttpKernel->handleRaw(Object, 1) (Line: 81) Symfony\Component\HttpKernel\HttpKernel->handle(Object, 1, 1) (Line: 58) Drupal\Core\StackMiddleware\Session->handle(Object, 1, 1) (Line: 48) Drupal\Core\StackMiddleware\KernelPreHandle->handle(Object, 1, 1) (Line: 191) Drupal\page_cache\StackMiddleware\PageCache->fetch(Object, 1, 1) (Line: 128) Drupal\page_cache\StackMiddleware\PageCache->lookup(Object, 1, 1) (Line: 82) Drupal\page_cache\StackMiddleware\PageCache->handle(Object, 1, 1) (Line: 48) Drupal\Core\StackMiddleware\ReverseProxyMiddleware->handle(Object, 1, 1) (Line: 51) Drupal\Core\StackMiddleware\NegotiationMiddleware->handle(Object, 1, 1) (Line: 23) Stack\StackedHttpKernel->handle(Object, 1, 1) (Line: 713) Drupal\Core\DrupalKernel->handle(Object) (Line: 19) - Deprecated function: Use of "static" in callables is deprecated in Drupal\user\Entity\Role::postLoad() (line 172 of core/modules/user/src/Entity/Role.php).
Drupal\user\Entity\Role::postLoad(Object, Array) (Line: 423) Drupal\Core\Entity\EntityStorageBase->postLoad(Array) (Line: 353) Drupal\Core\Entity\EntityStorageBase->loadMultiple() (Line: 126) eu_cookie_compliance_page_attachments(Array) (Line: 313) Drupal\Core\Render\MainContent\HtmlRenderer->Drupal\Core\Render\MainContent\{closure}(Object, 'eu_cookie_compliance') (Line: 405) Drupal\Core\Extension\ModuleHandler->invokeAllWith('page_attachments', Object) (Line: 310) Drupal\Core\Render\MainContent\HtmlRenderer->invokePageAttachmentHooks(Array) (Line: 288) Drupal\Core\Render\MainContent\HtmlRenderer->prepare(Array, Object, Object) (Line: 132) Drupal\Core\Render\MainContent\HtmlRenderer->renderResponse(Array, Object, Object) (Line: 90) Drupal\Core\EventSubscriber\MainContentViewSubscriber->onViewRenderArray(Object, 'kernel.view', Object) call_user_func(Array, Object, 'kernel.view', Object) (Line: 142) Drupal\Component\EventDispatcher\ContainerAwareEventDispatcher->dispatch(Object, 'kernel.view') (Line: 174) Symfony\Component\HttpKernel\HttpKernel->handleRaw(Object, 1) (Line: 81) Symfony\Component\HttpKernel\HttpKernel->handle(Object, 1, 1) (Line: 58) Drupal\Core\StackMiddleware\Session->handle(Object, 1, 1) (Line: 48) Drupal\Core\StackMiddleware\KernelPreHandle->handle(Object, 1, 1) (Line: 191) Drupal\page_cache\StackMiddleware\PageCache->fetch(Object, 1, 1) (Line: 128) Drupal\page_cache\StackMiddleware\PageCache->lookup(Object, 1, 1) (Line: 82) Drupal\page_cache\StackMiddleware\PageCache->handle(Object, 1, 1) (Line: 48) Drupal\Core\StackMiddleware\ReverseProxyMiddleware->handle(Object, 1, 1) (Line: 51) Drupal\Core\StackMiddleware\NegotiationMiddleware->handle(Object, 1, 1) (Line: 23) Stack\StackedHttpKernel->handle(Object, 1, 1) (Line: 713) Drupal\Core\DrupalKernel->handle(Object) (Line: 19) - Deprecated function: Creation of dynamic property Drupal\mysql\Driver\Database\mysql\Select::$alterMetaData is deprecated in Drupal\Core\Database\Query\Select->addMetaData() (line 178 of core/lib/Drupal/Core/Database/Query/Select.php).
Drupal\Core\Database\Query\Select->addMetaData('entity_type', 'node') (Line: 115) Drupal\Core\Entity\Query\Sql\Query->prepare() (Line: 80) Drupal\Core\Entity\Query\Sql\Query->execute() (Line: 167) Drupal\book\Plugin\Block\BookNavigationBlock->build() (Line: 171) Drupal\block\BlockViewBuilder::preRender(Array) call_user_func_array(Array, Array) (Line: 101) Drupal\Core\Render\Renderer->doTrustedCallback(Array, Array, 'Render #pre_render callbacks must be methods of a class that implements \Drupal\Core\Security\TrustedCallbackInterface or be an anonymous function. The callback was %s. See https://www.drupal.org/node/2966725', 'exception', 'Drupal\Core\Render\Element\RenderCallbackInterface') (Line: 788) Drupal\Core\Render\Renderer->doCallback('#pre_render', Array, Array) (Line: 374) Drupal\Core\Render\Renderer->doRender(Array, 1) (Line: 204) Drupal\Core\Render\Renderer->render(Array, 1) (Line: 160) Drupal\Core\Render\Renderer->Drupal\Core\Render\{closure}() (Line: 580) Drupal\Core\Render\Renderer->executeInRenderContext(Object, Object) (Line: 159) Drupal\Core\Render\Renderer->renderPlain(Array) (Line: 175) Drupal\Core\Render\Renderer->renderPlaceholder('', Array) (Line: 665) Drupal\Core\Render\Renderer->replacePlaceholders(Array) (Line: 550) Drupal\Core\Render\Renderer->doRender(Array, 1) (Line: 204) Drupal\Core\Render\Renderer->render(Array, 1) (Line: 148) Drupal\Core\Render\Renderer->Drupal\Core\Render\{closure}() (Line: 580) Drupal\Core\Render\Renderer->executeInRenderContext(Object, Object) (Line: 147) Drupal\Core\Render\Renderer->renderRoot(Array) (Line: 279) Drupal\Core\Render\HtmlResponseAttachmentsProcessor->renderPlaceholders(Object) (Line: 71) Drupal\big_pipe\Render\BigPipeResponseAttachmentsProcessor->processAttachments(Object) (Line: 45) Drupal\Core\EventSubscriber\HtmlResponseSubscriber->onRespond(Object, 'kernel.response', Object) call_user_func(Array, Object, 'kernel.response', Object) (Line: 142) Drupal\Component\EventDispatcher\ContainerAwareEventDispatcher->dispatch(Object, 'kernel.response') (Line: 202) Symfony\Component\HttpKernel\HttpKernel->filterResponse(Object, Object, 1) (Line: 190) Symfony\Component\HttpKernel\HttpKernel->handleRaw(Object, 1) (Line: 81) Symfony\Component\HttpKernel\HttpKernel->handle(Object, 1, 1) (Line: 58) Drupal\Core\StackMiddleware\Session->handle(Object, 1, 1) (Line: 48) Drupal\Core\StackMiddleware\KernelPreHandle->handle(Object, 1, 1) (Line: 191) Drupal\page_cache\StackMiddleware\PageCache->fetch(Object, 1, 1) (Line: 128) Drupal\page_cache\StackMiddleware\PageCache->lookup(Object, 1, 1) (Line: 82) Drupal\page_cache\StackMiddleware\PageCache->handle(Object, 1, 1) (Line: 48) Drupal\Core\StackMiddleware\ReverseProxyMiddleware->handle(Object, 1, 1) (Line: 51) Drupal\Core\StackMiddleware\NegotiationMiddleware->handle(Object, 1, 1) (Line: 23) Stack\StackedHttpKernel->handle(Object, 1, 1) (Line: 713) Drupal\Core\DrupalKernel->handle(Object) (Line: 19) - Deprecated function: Creation of dynamic property Drupal\mysql\Driver\Database\mysql\Select::$alterTags is deprecated in Drupal\Core\Database\Query\Select->addTag() (line 149 of core/lib/Drupal/Core/Database/Query/Select.php).
Drupal\Core\Database\Query\Select->addTag('node_access') (Line: 145) Drupal\Core\Entity\Query\Sql\Query->prepare() (Line: 80) Drupal\Core\Entity\Query\Sql\Query->execute() (Line: 167) Drupal\book\Plugin\Block\BookNavigationBlock->build() (Line: 171) Drupal\block\BlockViewBuilder::preRender(Array) call_user_func_array(Array, Array) (Line: 101) Drupal\Core\Render\Renderer->doTrustedCallback(Array, Array, 'Render #pre_render callbacks must be methods of a class that implements \Drupal\Core\Security\TrustedCallbackInterface or be an anonymous function. The callback was %s. See https://www.drupal.org/node/2966725', 'exception', 'Drupal\Core\Render\Element\RenderCallbackInterface') (Line: 788) Drupal\Core\Render\Renderer->doCallback('#pre_render', Array, Array) (Line: 374) Drupal\Core\Render\Renderer->doRender(Array, 1) (Line: 204) Drupal\Core\Render\Renderer->render(Array, 1) (Line: 160) Drupal\Core\Render\Renderer->Drupal\Core\Render\{closure}() (Line: 580) Drupal\Core\Render\Renderer->executeInRenderContext(Object, Object) (Line: 159) Drupal\Core\Render\Renderer->renderPlain(Array) (Line: 175) Drupal\Core\Render\Renderer->renderPlaceholder('', Array) (Line: 665) Drupal\Core\Render\Renderer->replacePlaceholders(Array) (Line: 550) Drupal\Core\Render\Renderer->doRender(Array, 1) (Line: 204) Drupal\Core\Render\Renderer->render(Array, 1) (Line: 148) Drupal\Core\Render\Renderer->Drupal\Core\Render\{closure}() (Line: 580) Drupal\Core\Render\Renderer->executeInRenderContext(Object, Object) (Line: 147) Drupal\Core\Render\Renderer->renderRoot(Array) (Line: 279) Drupal\Core\Render\HtmlResponseAttachmentsProcessor->renderPlaceholders(Object) (Line: 71) Drupal\big_pipe\Render\BigPipeResponseAttachmentsProcessor->processAttachments(Object) (Line: 45) Drupal\Core\EventSubscriber\HtmlResponseSubscriber->onRespond(Object, 'kernel.response', Object) call_user_func(Array, Object, 'kernel.response', Object) (Line: 142) Drupal\Component\EventDispatcher\ContainerAwareEventDispatcher->dispatch(Object, 'kernel.response') (Line: 202) Symfony\Component\HttpKernel\HttpKernel->filterResponse(Object, Object, 1) (Line: 190) Symfony\Component\HttpKernel\HttpKernel->handleRaw(Object, 1) (Line: 81) Symfony\Component\HttpKernel\HttpKernel->handle(Object, 1, 1) (Line: 58) Drupal\Core\StackMiddleware\Session->handle(Object, 1, 1) (Line: 48) Drupal\Core\StackMiddleware\KernelPreHandle->handle(Object, 1, 1) (Line: 191) Drupal\page_cache\StackMiddleware\PageCache->fetch(Object, 1, 1) (Line: 128) Drupal\page_cache\StackMiddleware\PageCache->lookup(Object, 1, 1) (Line: 82) Drupal\page_cache\StackMiddleware\PageCache->handle(Object, 1, 1) (Line: 48) Drupal\Core\StackMiddleware\ReverseProxyMiddleware->handle(Object, 1, 1) (Line: 51) Drupal\Core\StackMiddleware\NegotiationMiddleware->handle(Object, 1, 1) (Line: 23) Stack\StackedHttpKernel->handle(Object, 1, 1) (Line: 713) Drupal\Core\DrupalKernel->handle(Object) (Line: 19) - Deprecated function: Creation of dynamic property Drupal\mysql\Driver\Database\mysql\Select::$alterTags is deprecated in Drupal\Core\Database\Query\Select->addTag() (line 149 of core/lib/Drupal/Core/Database/Query/Select.php).
Drupal\Core\Database\Query\Select->addTag('node_access') (Line: 51) Drupal\book\BookOutlineStorage->loadMultiple(Array) (Line: 1021) Drupal\book\BookManager->bookTreeCheckAccess(Array, Array) (Line: 701) Drupal\book\BookManager->bookTreeBuild('828', Array) (Line: 567) Drupal\book\BookManager->bookTreeAllData('828', Array) (Line: 171) Drupal\book\Plugin\Block\BookNavigationBlock->build() (Line: 171) Drupal\block\BlockViewBuilder::preRender(Array) call_user_func_array(Array, Array) (Line: 101) Drupal\Core\Render\Renderer->doTrustedCallback(Array, Array, 'Render #pre_render callbacks must be methods of a class that implements \Drupal\Core\Security\TrustedCallbackInterface or be an anonymous function. The callback was %s. See https://www.drupal.org/node/2966725', 'exception', 'Drupal\Core\Render\Element\RenderCallbackInterface') (Line: 788) Drupal\Core\Render\Renderer->doCallback('#pre_render', Array, Array) (Line: 374) Drupal\Core\Render\Renderer->doRender(Array, 1) (Line: 204) Drupal\Core\Render\Renderer->render(Array, 1) (Line: 160) Drupal\Core\Render\Renderer->Drupal\Core\Render\{closure}() (Line: 580) Drupal\Core\Render\Renderer->executeInRenderContext(Object, Object) (Line: 159) Drupal\Core\Render\Renderer->renderPlain(Array) (Line: 175) Drupal\Core\Render\Renderer->renderPlaceholder('', Array) (Line: 665) Drupal\Core\Render\Renderer->replacePlaceholders(Array) (Line: 550) Drupal\Core\Render\Renderer->doRender(Array, 1) (Line: 204) Drupal\Core\Render\Renderer->render(Array, 1) (Line: 148) Drupal\Core\Render\Renderer->Drupal\Core\Render\{closure}() (Line: 580) Drupal\Core\Render\Renderer->executeInRenderContext(Object, Object) (Line: 147) Drupal\Core\Render\Renderer->renderRoot(Array) (Line: 279) Drupal\Core\Render\HtmlResponseAttachmentsProcessor->renderPlaceholders(Object) (Line: 71) Drupal\big_pipe\Render\BigPipeResponseAttachmentsProcessor->processAttachments(Object) (Line: 45) Drupal\Core\EventSubscriber\HtmlResponseSubscriber->onRespond(Object, 'kernel.response', Object) call_user_func(Array, Object, 'kernel.response', Object) (Line: 142) Drupal\Component\EventDispatcher\ContainerAwareEventDispatcher->dispatch(Object, 'kernel.response') (Line: 202) Symfony\Component\HttpKernel\HttpKernel->filterResponse(Object, Object, 1) (Line: 190) Symfony\Component\HttpKernel\HttpKernel->handleRaw(Object, 1) (Line: 81) Symfony\Component\HttpKernel\HttpKernel->handle(Object, 1, 1) (Line: 58) Drupal\Core\StackMiddleware\Session->handle(Object, 1, 1) (Line: 48) Drupal\Core\StackMiddleware\KernelPreHandle->handle(Object, 1, 1) (Line: 191) Drupal\page_cache\StackMiddleware\PageCache->fetch(Object, 1, 1) (Line: 128) Drupal\page_cache\StackMiddleware\PageCache->lookup(Object, 1, 1) (Line: 82) Drupal\page_cache\StackMiddleware\PageCache->handle(Object, 1, 1) (Line: 48) Drupal\Core\StackMiddleware\ReverseProxyMiddleware->handle(Object, 1, 1) (Line: 51) Drupal\Core\StackMiddleware\NegotiationMiddleware->handle(Object, 1, 1) (Line: 23) Stack\StackedHttpKernel->handle(Object, 1, 1) (Line: 713) Drupal\Core\DrupalKernel->handle(Object) (Line: 19) - Deprecated function: Creation of dynamic property Drupal\mysql\Driver\Database\mysql\Select::$alterMetaData is deprecated in Drupal\Core\Database\Query\Select->addMetaData() (line 178 of core/lib/Drupal/Core/Database/Query/Select.php).
Drupal\Core\Database\Query\Select->addMetaData('base_table', 'book') (Line: 52) Drupal\book\BookOutlineStorage->loadMultiple(Array) (Line: 1021) Drupal\book\BookManager->bookTreeCheckAccess(Array, Array) (Line: 701) Drupal\book\BookManager->bookTreeBuild('828', Array) (Line: 567) Drupal\book\BookManager->bookTreeAllData('828', Array) (Line: 171) Drupal\book\Plugin\Block\BookNavigationBlock->build() (Line: 171) Drupal\block\BlockViewBuilder::preRender(Array) call_user_func_array(Array, Array) (Line: 101) Drupal\Core\Render\Renderer->doTrustedCallback(Array, Array, 'Render #pre_render callbacks must be methods of a class that implements \Drupal\Core\Security\TrustedCallbackInterface or be an anonymous function. The callback was %s. See https://www.drupal.org/node/2966725', 'exception', 'Drupal\Core\Render\Element\RenderCallbackInterface') (Line: 788) Drupal\Core\Render\Renderer->doCallback('#pre_render', Array, Array) (Line: 374) Drupal\Core\Render\Renderer->doRender(Array, 1) (Line: 204) Drupal\Core\Render\Renderer->render(Array, 1) (Line: 160) Drupal\Core\Render\Renderer->Drupal\Core\Render\{closure}() (Line: 580) Drupal\Core\Render\Renderer->executeInRenderContext(Object, Object) (Line: 159) Drupal\Core\Render\Renderer->renderPlain(Array) (Line: 175) Drupal\Core\Render\Renderer->renderPlaceholder('', Array) (Line: 665) Drupal\Core\Render\Renderer->replacePlaceholders(Array) (Line: 550) Drupal\Core\Render\Renderer->doRender(Array, 1) (Line: 204) Drupal\Core\Render\Renderer->render(Array, 1) (Line: 148) Drupal\Core\Render\Renderer->Drupal\Core\Render\{closure}() (Line: 580) Drupal\Core\Render\Renderer->executeInRenderContext(Object, Object) (Line: 147) Drupal\Core\Render\Renderer->renderRoot(Array) (Line: 279) Drupal\Core\Render\HtmlResponseAttachmentsProcessor->renderPlaceholders(Object) (Line: 71) Drupal\big_pipe\Render\BigPipeResponseAttachmentsProcessor->processAttachments(Object) (Line: 45) Drupal\Core\EventSubscriber\HtmlResponseSubscriber->onRespond(Object, 'kernel.response', Object) call_user_func(Array, Object, 'kernel.response', Object) (Line: 142) Drupal\Component\EventDispatcher\ContainerAwareEventDispatcher->dispatch(Object, 'kernel.response') (Line: 202) Symfony\Component\HttpKernel\HttpKernel->filterResponse(Object, Object, 1) (Line: 190) Symfony\Component\HttpKernel\HttpKernel->handleRaw(Object, 1) (Line: 81) Symfony\Component\HttpKernel\HttpKernel->handle(Object, 1, 1) (Line: 58) Drupal\Core\StackMiddleware\Session->handle(Object, 1, 1) (Line: 48) Drupal\Core\StackMiddleware\KernelPreHandle->handle(Object, 1, 1) (Line: 191) Drupal\page_cache\StackMiddleware\PageCache->fetch(Object, 1, 1) (Line: 128) Drupal\page_cache\StackMiddleware\PageCache->lookup(Object, 1, 1) (Line: 82) Drupal\page_cache\StackMiddleware\PageCache->handle(Object, 1, 1) (Line: 48) Drupal\Core\StackMiddleware\ReverseProxyMiddleware->handle(Object, 1, 1) (Line: 51) Drupal\Core\StackMiddleware\NegotiationMiddleware->handle(Object, 1, 1) (Line: 23) Stack\StackedHttpKernel->handle(Object, 1, 1) (Line: 713) Drupal\Core\DrupalKernel->handle(Object) (Line: 19)