- Deprecated function: Use of "static" in callables is deprecated in Drupal\user\Entity\Role::postLoad() (line 172 of core/modules/user/src/Entity/Role.php).
Drupal\user\Entity\Role::postLoad(Object, Array) (Line: 423)
Drupal\Core\Entity\EntityStorageBase->postLoad(Array) (Line: 353)
Drupal\Core\Entity\EntityStorageBase->loadMultiple(Array) (Line: 16)
Drupal\user\RoleStorage->isPermissionInRoles('access site in maintenance mode', Array) (Line: 112)
Drupal\Core\Session\UserSession->hasPermission('access site in maintenance mode') (Line: 105)
Drupal\Core\Session\AccountProxy->hasPermission('access site in maintenance mode') (Line: 83)
Drupal\redirect\RedirectChecker->canRedirect(Object) (Line: 120)
Drupal\redirect\EventSubscriber\RedirectRequestSubscriber->onKernelRequestCheckRedirect(Object, 'kernel.request', Object)
call_user_func(Array, Object, 'kernel.request', Object) (Line: 142)
Drupal\Component\EventDispatcher\ContainerAwareEventDispatcher->dispatch(Object, 'kernel.request') (Line: 145)
Symfony\Component\HttpKernel\HttpKernel->handleRaw(Object, 1) (Line: 81)
Symfony\Component\HttpKernel\HttpKernel->handle(Object, 1, 1) (Line: 58)
Drupal\Core\StackMiddleware\Session->handle(Object, 1, 1) (Line: 48)
Drupal\Core\StackMiddleware\KernelPreHandle->handle(Object, 1, 1) (Line: 191)
Drupal\page_cache\StackMiddleware\PageCache->fetch(Object, 1, 1) (Line: 128)
Drupal\page_cache\StackMiddleware\PageCache->lookup(Object, 1, 1) (Line: 82)
Drupal\page_cache\StackMiddleware\PageCache->handle(Object, 1, 1) (Line: 48)
Drupal\Core\StackMiddleware\ReverseProxyMiddleware->handle(Object, 1, 1) (Line: 51)
Drupal\Core\StackMiddleware\NegotiationMiddleware->handle(Object, 1, 1) (Line: 23)
Stack\StackedHttpKernel->handle(Object, 1, 1) (Line: 713)
Drupal\Core\DrupalKernel->handle(Object) (Line: 19)
- Deprecated function: Creation of dynamic property Drupal\mysql\Driver\Database\mysql\Select::$alterMetaData is deprecated in Drupal\Core\Database\Query\Select->addMetaData() (line 178 of core/lib/Drupal/Core/Database/Query/Select.php).
Drupal\Core\Database\Query\Select->addMetaData('entity_type', 'file') (Line: 115)
Drupal\Core\Entity\Query\Sql\Query->prepare() (Line: 80)
Drupal\Core\Entity\Query\Sql\Query->execute() (Line: 640)
Drupal\Core\Entity\EntityStorageBase->loadByProperties(Array) (Line: 63)
Drupal\Core\Entity\EntityRepository->loadEntityByUuid('file', 'insert-max_800_px-2a0dfa49-a03d-4425-b030-7307343344dd') (Line: 95)
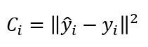
Drupal\editor\Plugin\Filter\EditorFileReference->process('También debemos reconsiderar la <em>función de error</em> o <em>función de coste</em> que vamos a utilizar en nuestro clasificador. Hasta ahora -para hacer más sencilla la interpretación de las explicaciones- hemos dado por supuesto que estábamos trabajando en un entorno de análisis de regresión considerando alguna variación de la siguiente función de coste:
<a class="colorbox insert-colorbox" data-colorbox-gallery="gallery-node" data-insert-class="" data-insert-type="image" href="/sites/default/files/2020-11/tutdl_0141.jpg"></a>
En este escenario la predicción para una muestra i (ŷi) es un número, el valor objetivo o etiqueta (yi) es otro número, por lo que su diferencia elevada al cuadrado es otro número y el resultado del sumatorio también es un número.
En un escenario de clasificación resulta necesario retocar adecuadamente esta función, pues ahora tanto la predicción como el valor objetivo no son valores escalares, sino vectores. <a href="/manual/tutorial-de-deep-learning/variable-objetivo">Ya vimos</a>, por ejemplo, que si estamos trabajando con las imágenes de MNIST y la variable objetivo toma el valor 3 (de 10 clases posibles), esto supone que necesitamos alimentar nuestra red con un vector de 10 números que tomen el valor 0 menos el correspondiente a la clase "3", que deberá tomar el valor 1:
<a class="colorbox insert-colorbox" data-colorbox-gallery="gallery-node" data-insert-class="" data-insert-type="image" href="/sites/default/files/2020-10/tutdl_0113.jpg"></a>
Y con la predicción ocurre exactamente lo mismo: el resultado devuelto por la red neuronal será un vector formado por 10 números indicando cada uno de ellos la "confianza" que la red tiene de que el valor representado en la imagen sea el correspondiente a cada clase.
Esto significa que, para el cálculo del error de una muestra, debemos enfrentar no dos números -como ocurría en el caso del análisis de regresión-, sino dos vectores.
Una solución para obtener este error es restar ambos vectores y obtener el módulo del resultado:
<a class="colorbox insert-colorbox" data-colorbox-gallery="gallery-node" data-insert-class="" data-insert-type="image" href="/sites/default/files/2020-11/tutdl_0142.jpg"></a>
En la imagen anterior partimos de la variable objetivo correspondiente al número 3 (yi), nos inventamos una supuesta predicción (ŷi) y obtenemos la diferencia de ambos vectores (yi-ŷi). En la parte inferior se muestra el módulo de este último vector: 0.58189, obtenido como la raíz cuadrada de la suma de los cuadrados de los componentes del vector.
Este enfoque nos lleva a retocar la función de coste correspondiente a una muestra dejándola expresada de la siguiente manera:
<a class="colorbox insert-colorbox" data-colorbox-gallery="gallery-node" data-insert-class="" data-insert-type="image" href="/sites/default/files/2020-11/tutdl_0143.jpg"></a>
(donde ||x̄|| representa el módulo del vector x̄)
...y definiendo, por lo tanto, la función de coste global con la siguiente expresión (o alguna variación de ésta):
<a class="colorbox insert-colorbox" data-colorbox-gallery="gallery-node" data-insert-class="" data-insert-type="image" href="/sites/default/files/2020-11/tutdl_0144.jpg"></a>
', 'es') (Line: 118)
Drupal\filter\Element\ProcessedText::preRenderText(Array)
call_user_func_array(Array, Array) (Line: 101)
Drupal\Core\Render\Renderer->doTrustedCallback(Array, Array, 'Render #pre_render callbacks must be methods of a class that implements \Drupal\Core\Security\TrustedCallbackInterface or be an anonymous function. The callback was %s. See https://www.drupal.org/node/2966725', 'exception', 'Drupal\Core\Render\Element\RenderCallbackInterface') (Line: 788)
Drupal\Core\Render\Renderer->doCallback('#pre_render', Array, Array) (Line: 374)
Drupal\Core\Render\Renderer->doRender(Array, ) (Line: 204)
Drupal\Core\Render\Renderer->render(Array) (Line: 479)
Drupal\Core\Template\TwigExtension->escapeFilter(Object, Array, 'html', NULL, 1) (Line: 88)
__TwigTemplate_a7d6005c89ae729617b9a0c2bccb1776->doDisplay(Array, Array) (Line: 405)
Twig\Template->displayWithErrorHandling(Array, Array) (Line: 378)
Twig\Template->display(Array, Array) (Line: 46)
__TwigTemplate_804f7948456cfe20e11a34c43439c7c2->doDisplay(Array, Array) (Line: 405)
Twig\Template->displayWithErrorHandling(Array, Array) (Line: 378)
Twig\Template->display(Array, Array) (Line: 43)
__TwigTemplate_bd990293b89f3b78c69fe0ee2f7828b5->doDisplay(Array, Array) (Line: 405)
Twig\Template->displayWithErrorHandling(Array, Array) (Line: 378)
Twig\Template->display(Array) (Line: 390)
Twig\Template->render(Array) (Line: 55)
twig_render_template('themes/contrib/classy/templates/field/field--text-with-summary.html.twig', Array) (Line: 384)
Drupal\Core\Theme\ThemeManager->render('field', Array) (Line: 433)
Drupal\Core\Render\Renderer->doRender(Array) (Line: 446)
Drupal\Core\Render\Renderer->doRender(Array, ) (Line: 204)
Drupal\Core\Render\Renderer->render(Array) (Line: 479)
Drupal\Core\Template\TwigExtension->escapeFilter(Object, Array, 'html', NULL, 1) (Line: 74)
__TwigTemplate_94047fbdba6937b76a4479dfa1763452->doDisplay(Array, Array) (Line: 405)
Twig\Template->displayWithErrorHandling(Array, Array) (Line: 378)
Twig\Template->display(Array) (Line: 390)
Twig\Template->render(Array) (Line: 55)
twig_render_template('themes/custom/yg_aesthetic/templates/node.html.twig', Array) (Line: 384)
Drupal\Core\Theme\ThemeManager->render('node', Array) (Line: 433)
Drupal\Core\Render\Renderer->doRender(Array, ) (Line: 204)
Drupal\Core\Render\Renderer->render(Array, ) (Line: 242)
Drupal\Core\Render\MainContent\HtmlRenderer->Drupal\Core\Render\MainContent\{closure}() (Line: 580)
Drupal\Core\Render\Renderer->executeInRenderContext(Object, Object) (Line: 235)
Drupal\Core\Render\MainContent\HtmlRenderer->prepare(Array, Object, Object) (Line: 132)
Drupal\Core\Render\MainContent\HtmlRenderer->renderResponse(Array, Object, Object) (Line: 90)
Drupal\Core\EventSubscriber\MainContentViewSubscriber->onViewRenderArray(Object, 'kernel.view', Object)
call_user_func(Array, Object, 'kernel.view', Object) (Line: 142)
Drupal\Component\EventDispatcher\ContainerAwareEventDispatcher->dispatch(Object, 'kernel.view') (Line: 174)
Symfony\Component\HttpKernel\HttpKernel->handleRaw(Object, 1) (Line: 81)
Symfony\Component\HttpKernel\HttpKernel->handle(Object, 1, 1) (Line: 58)
Drupal\Core\StackMiddleware\Session->handle(Object, 1, 1) (Line: 48)
Drupal\Core\StackMiddleware\KernelPreHandle->handle(Object, 1, 1) (Line: 191)
Drupal\page_cache\StackMiddleware\PageCache->fetch(Object, 1, 1) (Line: 128)
Drupal\page_cache\StackMiddleware\PageCache->lookup(Object, 1, 1) (Line: 82)
Drupal\page_cache\StackMiddleware\PageCache->handle(Object, 1, 1) (Line: 48)
Drupal\Core\StackMiddleware\ReverseProxyMiddleware->handle(Object, 1, 1) (Line: 51)
Drupal\Core\StackMiddleware\NegotiationMiddleware->handle(Object, 1, 1) (Line: 23)
Stack\StackedHttpKernel->handle(Object, 1, 1) (Line: 713)
Drupal\Core\DrupalKernel->handle(Object) (Line: 19)
- Deprecated function: Creation of dynamic property Drupal\mysql\Driver\Database\mysql\Select::$alterTags is deprecated in Drupal\Core\Database\Query\Select->addTag() (line 149 of core/lib/Drupal/Core/Database/Query/Select.php).
Drupal\Core\Database\Query\Select->addTag('entity_query') (Line: 147)
Drupal\Core\Entity\Query\Sql\Query->prepare() (Line: 80)
Drupal\Core\Entity\Query\Sql\Query->execute() (Line: 640)
Drupal\Core\Entity\EntityStorageBase->loadByProperties(Array) (Line: 63)
Drupal\Core\Entity\EntityRepository->loadEntityByUuid('file', 'insert-max_800_px-2a0dfa49-a03d-4425-b030-7307343344dd') (Line: 95)
Drupal\editor\Plugin\Filter\EditorFileReference->process('También debemos reconsiderar la <em>función de error</em> o <em>función de coste</em> que vamos a utilizar en nuestro clasificador. Hasta ahora -para hacer más sencilla la interpretación de las explicaciones- hemos dado por supuesto que estábamos trabajando en un entorno de análisis de regresión considerando alguna variación de la siguiente función de coste:
<a class="colorbox insert-colorbox" data-colorbox-gallery="gallery-node" data-insert-class="" data-insert-type="image" href="/sites/default/files/2020-11/tutdl_0141.jpg"></a>
En este escenario la predicción para una muestra i (ŷi) es un número, el valor objetivo o etiqueta (yi) es otro número, por lo que su diferencia elevada al cuadrado es otro número y el resultado del sumatorio también es un número.
En un escenario de clasificación resulta necesario retocar adecuadamente esta función, pues ahora tanto la predicción como el valor objetivo no son valores escalares, sino vectores. <a href="/manual/tutorial-de-deep-learning/variable-objetivo">Ya vimos</a>, por ejemplo, que si estamos trabajando con las imágenes de MNIST y la variable objetivo toma el valor 3 (de 10 clases posibles), esto supone que necesitamos alimentar nuestra red con un vector de 10 números que tomen el valor 0 menos el correspondiente a la clase "3", que deberá tomar el valor 1:
<a class="colorbox insert-colorbox" data-colorbox-gallery="gallery-node" data-insert-class="" data-insert-type="image" href="/sites/default/files/2020-10/tutdl_0113.jpg"></a>
Y con la predicción ocurre exactamente lo mismo: el resultado devuelto por la red neuronal será un vector formado por 10 números indicando cada uno de ellos la "confianza" que la red tiene de que el valor representado en la imagen sea el correspondiente a cada clase.
Esto significa que, para el cálculo del error de una muestra, debemos enfrentar no dos números -como ocurría en el caso del análisis de regresión-, sino dos vectores.
Una solución para obtener este error es restar ambos vectores y obtener el módulo del resultado:
<a class="colorbox insert-colorbox" data-colorbox-gallery="gallery-node" data-insert-class="" data-insert-type="image" href="/sites/default/files/2020-11/tutdl_0142.jpg"></a>
En la imagen anterior partimos de la variable objetivo correspondiente al número 3 (yi), nos inventamos una supuesta predicción (ŷi) y obtenemos la diferencia de ambos vectores (yi-ŷi). En la parte inferior se muestra el módulo de este último vector: 0.58189, obtenido como la raíz cuadrada de la suma de los cuadrados de los componentes del vector.
Este enfoque nos lleva a retocar la función de coste correspondiente a una muestra dejándola expresada de la siguiente manera:
<a class="colorbox insert-colorbox" data-colorbox-gallery="gallery-node" data-insert-class="" data-insert-type="image" href="/sites/default/files/2020-11/tutdl_0143.jpg"></a>
(donde ||x̄|| representa el módulo del vector x̄)
...y definiendo, por lo tanto, la función de coste global con la siguiente expresión (o alguna variación de ésta):
<a class="colorbox insert-colorbox" data-colorbox-gallery="gallery-node" data-insert-class="" data-insert-type="image" href="/sites/default/files/2020-11/tutdl_0144.jpg"></a>
', 'es') (Line: 118)
Drupal\filter\Element\ProcessedText::preRenderText(Array)
call_user_func_array(Array, Array) (Line: 101)
Drupal\Core\Render\Renderer->doTrustedCallback(Array, Array, 'Render #pre_render callbacks must be methods of a class that implements \Drupal\Core\Security\TrustedCallbackInterface or be an anonymous function. The callback was %s. See https://www.drupal.org/node/2966725', 'exception', 'Drupal\Core\Render\Element\RenderCallbackInterface') (Line: 788)
Drupal\Core\Render\Renderer->doCallback('#pre_render', Array, Array) (Line: 374)
Drupal\Core\Render\Renderer->doRender(Array, ) (Line: 204)
Drupal\Core\Render\Renderer->render(Array) (Line: 479)
Drupal\Core\Template\TwigExtension->escapeFilter(Object, Array, 'html', NULL, 1) (Line: 88)
__TwigTemplate_a7d6005c89ae729617b9a0c2bccb1776->doDisplay(Array, Array) (Line: 405)
Twig\Template->displayWithErrorHandling(Array, Array) (Line: 378)
Twig\Template->display(Array, Array) (Line: 46)
__TwigTemplate_804f7948456cfe20e11a34c43439c7c2->doDisplay(Array, Array) (Line: 405)
Twig\Template->displayWithErrorHandling(Array, Array) (Line: 378)
Twig\Template->display(Array, Array) (Line: 43)
__TwigTemplate_bd990293b89f3b78c69fe0ee2f7828b5->doDisplay(Array, Array) (Line: 405)
Twig\Template->displayWithErrorHandling(Array, Array) (Line: 378)
Twig\Template->display(Array) (Line: 390)
Twig\Template->render(Array) (Line: 55)
twig_render_template('themes/contrib/classy/templates/field/field--text-with-summary.html.twig', Array) (Line: 384)
Drupal\Core\Theme\ThemeManager->render('field', Array) (Line: 433)
Drupal\Core\Render\Renderer->doRender(Array) (Line: 446)
Drupal\Core\Render\Renderer->doRender(Array, ) (Line: 204)
Drupal\Core\Render\Renderer->render(Array) (Line: 479)
Drupal\Core\Template\TwigExtension->escapeFilter(Object, Array, 'html', NULL, 1) (Line: 74)
__TwigTemplate_94047fbdba6937b76a4479dfa1763452->doDisplay(Array, Array) (Line: 405)
Twig\Template->displayWithErrorHandling(Array, Array) (Line: 378)
Twig\Template->display(Array) (Line: 390)
Twig\Template->render(Array) (Line: 55)
twig_render_template('themes/custom/yg_aesthetic/templates/node.html.twig', Array) (Line: 384)
Drupal\Core\Theme\ThemeManager->render('node', Array) (Line: 433)
Drupal\Core\Render\Renderer->doRender(Array, ) (Line: 204)
Drupal\Core\Render\Renderer->render(Array, ) (Line: 242)
Drupal\Core\Render\MainContent\HtmlRenderer->Drupal\Core\Render\MainContent\{closure}() (Line: 580)
Drupal\Core\Render\Renderer->executeInRenderContext(Object, Object) (Line: 235)
Drupal\Core\Render\MainContent\HtmlRenderer->prepare(Array, Object, Object) (Line: 132)
Drupal\Core\Render\MainContent\HtmlRenderer->renderResponse(Array, Object, Object) (Line: 90)
Drupal\Core\EventSubscriber\MainContentViewSubscriber->onViewRenderArray(Object, 'kernel.view', Object)
call_user_func(Array, Object, 'kernel.view', Object) (Line: 142)
Drupal\Component\EventDispatcher\ContainerAwareEventDispatcher->dispatch(Object, 'kernel.view') (Line: 174)
Symfony\Component\HttpKernel\HttpKernel->handleRaw(Object, 1) (Line: 81)
Symfony\Component\HttpKernel\HttpKernel->handle(Object, 1, 1) (Line: 58)
Drupal\Core\StackMiddleware\Session->handle(Object, 1, 1) (Line: 48)
Drupal\Core\StackMiddleware\KernelPreHandle->handle(Object, 1, 1) (Line: 191)
Drupal\page_cache\StackMiddleware\PageCache->fetch(Object, 1, 1) (Line: 128)
Drupal\page_cache\StackMiddleware\PageCache->lookup(Object, 1, 1) (Line: 82)
Drupal\page_cache\StackMiddleware\PageCache->handle(Object, 1, 1) (Line: 48)
Drupal\Core\StackMiddleware\ReverseProxyMiddleware->handle(Object, 1, 1) (Line: 51)
Drupal\Core\StackMiddleware\NegotiationMiddleware->handle(Object, 1, 1) (Line: 23)
Stack\StackedHttpKernel->handle(Object, 1, 1) (Line: 713)
Drupal\Core\DrupalKernel->handle(Object) (Line: 19)
- Deprecated function: Creation of dynamic property Drupal\mysql\Driver\Database\mysql\Select::$alterMetaData is deprecated in Drupal\Core\Database\Query\Select->addMetaData() (line 178 of core/lib/Drupal/Core/Database/Query/Select.php).
Drupal\Core\Database\Query\Select->addMetaData('entity_type', 'file') (Line: 115)
Drupal\Core\Entity\Query\Sql\Query->prepare() (Line: 80)
Drupal\Core\Entity\Query\Sql\Query->execute() (Line: 640)
Drupal\Core\Entity\EntityStorageBase->loadByProperties(Array) (Line: 63)
Drupal\Core\Entity\EntityRepository->loadEntityByUuid('file', 'insert-max_800_px-2a0dfa49-a03d-4425-b030-7307343344dd') (Line: 124)
Drupal\editor\Plugin\Filter\EditorFileReference->process('También debemos reconsiderar la <em>función de error</em> o <em>función de coste</em> que vamos a utilizar en nuestro clasificador. Hasta ahora -para hacer más sencilla la interpretación de las explicaciones- hemos dado por supuesto que estábamos trabajando en un entorno de análisis de regresión considerando alguna variación de la siguiente función de coste:
<a class="colorbox insert-colorbox" data-colorbox-gallery="gallery-node" data-insert-class="" data-insert-type="image" href="/sites/default/files/2020-11/tutdl_0141.jpg"></a>
En este escenario la predicción para una muestra i (ŷi) es un número, el valor objetivo o etiqueta (yi) es otro número, por lo que su diferencia elevada al cuadrado es otro número y el resultado del sumatorio también es un número.
En un escenario de clasificación resulta necesario retocar adecuadamente esta función, pues ahora tanto la predicción como el valor objetivo no son valores escalares, sino vectores. <a href="/manual/tutorial-de-deep-learning/variable-objetivo">Ya vimos</a>, por ejemplo, que si estamos trabajando con las imágenes de MNIST y la variable objetivo toma el valor 3 (de 10 clases posibles), esto supone que necesitamos alimentar nuestra red con un vector de 10 números que tomen el valor 0 menos el correspondiente a la clase "3", que deberá tomar el valor 1:
<a class="colorbox insert-colorbox" data-colorbox-gallery="gallery-node" data-insert-class="" data-insert-type="image" href="/sites/default/files/2020-10/tutdl_0113.jpg"></a>
Y con la predicción ocurre exactamente lo mismo: el resultado devuelto por la red neuronal será un vector formado por 10 números indicando cada uno de ellos la "confianza" que la red tiene de que el valor representado en la imagen sea el correspondiente a cada clase.
Esto significa que, para el cálculo del error de una muestra, debemos enfrentar no dos números -como ocurría en el caso del análisis de regresión-, sino dos vectores.
Una solución para obtener este error es restar ambos vectores y obtener el módulo del resultado:
<a class="colorbox insert-colorbox" data-colorbox-gallery="gallery-node" data-insert-class="" data-insert-type="image" href="/sites/default/files/2020-11/tutdl_0142.jpg"></a>
En la imagen anterior partimos de la variable objetivo correspondiente al número 3 (yi), nos inventamos una supuesta predicción (ŷi) y obtenemos la diferencia de ambos vectores (yi-ŷi). En la parte inferior se muestra el módulo de este último vector: 0.58189, obtenido como la raíz cuadrada de la suma de los cuadrados de los componentes del vector.
Este enfoque nos lleva a retocar la función de coste correspondiente a una muestra dejándola expresada de la siguiente manera:
<a class="colorbox insert-colorbox" data-colorbox-gallery="gallery-node" data-insert-class="" data-insert-type="image" href="/sites/default/files/2020-11/tutdl_0143.jpg"></a>
(donde ||x̄|| representa el módulo del vector x̄)
...y definiendo, por lo tanto, la función de coste global con la siguiente expresión (o alguna variación de ésta):
<a class="colorbox insert-colorbox" data-colorbox-gallery="gallery-node" data-insert-class="" data-insert-type="image" href="/sites/default/files/2020-11/tutdl_0144.jpg"></a>
', 'es') (Line: 118)
Drupal\filter\Element\ProcessedText::preRenderText(Array)
call_user_func_array(Array, Array) (Line: 101)
Drupal\Core\Render\Renderer->doTrustedCallback(Array, Array, 'Render #pre_render callbacks must be methods of a class that implements \Drupal\Core\Security\TrustedCallbackInterface or be an anonymous function. The callback was %s. See https://www.drupal.org/node/2966725', 'exception', 'Drupal\Core\Render\Element\RenderCallbackInterface') (Line: 788)
Drupal\Core\Render\Renderer->doCallback('#pre_render', Array, Array) (Line: 374)
Drupal\Core\Render\Renderer->doRender(Array, ) (Line: 204)
Drupal\Core\Render\Renderer->render(Array) (Line: 479)
Drupal\Core\Template\TwigExtension->escapeFilter(Object, Array, 'html', NULL, 1) (Line: 88)
__TwigTemplate_a7d6005c89ae729617b9a0c2bccb1776->doDisplay(Array, Array) (Line: 405)
Twig\Template->displayWithErrorHandling(Array, Array) (Line: 378)
Twig\Template->display(Array, Array) (Line: 46)
__TwigTemplate_804f7948456cfe20e11a34c43439c7c2->doDisplay(Array, Array) (Line: 405)
Twig\Template->displayWithErrorHandling(Array, Array) (Line: 378)
Twig\Template->display(Array, Array) (Line: 43)
__TwigTemplate_bd990293b89f3b78c69fe0ee2f7828b5->doDisplay(Array, Array) (Line: 405)
Twig\Template->displayWithErrorHandling(Array, Array) (Line: 378)
Twig\Template->display(Array) (Line: 390)
Twig\Template->render(Array) (Line: 55)
twig_render_template('themes/contrib/classy/templates/field/field--text-with-summary.html.twig', Array) (Line: 384)
Drupal\Core\Theme\ThemeManager->render('field', Array) (Line: 433)
Drupal\Core\Render\Renderer->doRender(Array) (Line: 446)
Drupal\Core\Render\Renderer->doRender(Array, ) (Line: 204)
Drupal\Core\Render\Renderer->render(Array) (Line: 479)
Drupal\Core\Template\TwigExtension->escapeFilter(Object, Array, 'html', NULL, 1) (Line: 74)
__TwigTemplate_94047fbdba6937b76a4479dfa1763452->doDisplay(Array, Array) (Line: 405)
Twig\Template->displayWithErrorHandling(Array, Array) (Line: 378)
Twig\Template->display(Array) (Line: 390)
Twig\Template->render(Array) (Line: 55)
twig_render_template('themes/custom/yg_aesthetic/templates/node.html.twig', Array) (Line: 384)
Drupal\Core\Theme\ThemeManager->render('node', Array) (Line: 433)
Drupal\Core\Render\Renderer->doRender(Array, ) (Line: 204)
Drupal\Core\Render\Renderer->render(Array, ) (Line: 242)
Drupal\Core\Render\MainContent\HtmlRenderer->Drupal\Core\Render\MainContent\{closure}() (Line: 580)
Drupal\Core\Render\Renderer->executeInRenderContext(Object, Object) (Line: 235)
Drupal\Core\Render\MainContent\HtmlRenderer->prepare(Array, Object, Object) (Line: 132)
Drupal\Core\Render\MainContent\HtmlRenderer->renderResponse(Array, Object, Object) (Line: 90)
Drupal\Core\EventSubscriber\MainContentViewSubscriber->onViewRenderArray(Object, 'kernel.view', Object)
call_user_func(Array, Object, 'kernel.view', Object) (Line: 142)
Drupal\Component\EventDispatcher\ContainerAwareEventDispatcher->dispatch(Object, 'kernel.view') (Line: 174)
Symfony\Component\HttpKernel\HttpKernel->handleRaw(Object, 1) (Line: 81)
Symfony\Component\HttpKernel\HttpKernel->handle(Object, 1, 1) (Line: 58)
Drupal\Core\StackMiddleware\Session->handle(Object, 1, 1) (Line: 48)
Drupal\Core\StackMiddleware\KernelPreHandle->handle(Object, 1, 1) (Line: 191)
Drupal\page_cache\StackMiddleware\PageCache->fetch(Object, 1, 1) (Line: 128)
Drupal\page_cache\StackMiddleware\PageCache->lookup(Object, 1, 1) (Line: 82)
Drupal\page_cache\StackMiddleware\PageCache->handle(Object, 1, 1) (Line: 48)
Drupal\Core\StackMiddleware\ReverseProxyMiddleware->handle(Object, 1, 1) (Line: 51)
Drupal\Core\StackMiddleware\NegotiationMiddleware->handle(Object, 1, 1) (Line: 23)
Stack\StackedHttpKernel->handle(Object, 1, 1) (Line: 713)
Drupal\Core\DrupalKernel->handle(Object) (Line: 19)
- Deprecated function: Creation of dynamic property Drupal\mysql\Driver\Database\mysql\Select::$alterTags is deprecated in Drupal\Core\Database\Query\Select->addTag() (line 149 of core/lib/Drupal/Core/Database/Query/Select.php).
Drupal\Core\Database\Query\Select->addTag('entity_query') (Line: 147)
Drupal\Core\Entity\Query\Sql\Query->prepare() (Line: 80)
Drupal\Core\Entity\Query\Sql\Query->execute() (Line: 640)
Drupal\Core\Entity\EntityStorageBase->loadByProperties(Array) (Line: 63)
Drupal\Core\Entity\EntityRepository->loadEntityByUuid('file', 'insert-max_800_px-2a0dfa49-a03d-4425-b030-7307343344dd') (Line: 124)
Drupal\editor\Plugin\Filter\EditorFileReference->process('También debemos reconsiderar la <em>función de error</em> o <em>función de coste</em> que vamos a utilizar en nuestro clasificador. Hasta ahora -para hacer más sencilla la interpretación de las explicaciones- hemos dado por supuesto que estábamos trabajando en un entorno de análisis de regresión considerando alguna variación de la siguiente función de coste:
<a class="colorbox insert-colorbox" data-colorbox-gallery="gallery-node" data-insert-class="" data-insert-type="image" href="/sites/default/files/2020-11/tutdl_0141.jpg"></a>
En este escenario la predicción para una muestra i (ŷi) es un número, el valor objetivo o etiqueta (yi) es otro número, por lo que su diferencia elevada al cuadrado es otro número y el resultado del sumatorio también es un número.
En un escenario de clasificación resulta necesario retocar adecuadamente esta función, pues ahora tanto la predicción como el valor objetivo no son valores escalares, sino vectores. <a href="/manual/tutorial-de-deep-learning/variable-objetivo">Ya vimos</a>, por ejemplo, que si estamos trabajando con las imágenes de MNIST y la variable objetivo toma el valor 3 (de 10 clases posibles), esto supone que necesitamos alimentar nuestra red con un vector de 10 números que tomen el valor 0 menos el correspondiente a la clase "3", que deberá tomar el valor 1:
<a class="colorbox insert-colorbox" data-colorbox-gallery="gallery-node" data-insert-class="" data-insert-type="image" href="/sites/default/files/2020-10/tutdl_0113.jpg"></a>
Y con la predicción ocurre exactamente lo mismo: el resultado devuelto por la red neuronal será un vector formado por 10 números indicando cada uno de ellos la "confianza" que la red tiene de que el valor representado en la imagen sea el correspondiente a cada clase.
Esto significa que, para el cálculo del error de una muestra, debemos enfrentar no dos números -como ocurría en el caso del análisis de regresión-, sino dos vectores.
Una solución para obtener este error es restar ambos vectores y obtener el módulo del resultado:
<a class="colorbox insert-colorbox" data-colorbox-gallery="gallery-node" data-insert-class="" data-insert-type="image" href="/sites/default/files/2020-11/tutdl_0142.jpg"></a>
En la imagen anterior partimos de la variable objetivo correspondiente al número 3 (yi), nos inventamos una supuesta predicción (ŷi) y obtenemos la diferencia de ambos vectores (yi-ŷi). En la parte inferior se muestra el módulo de este último vector: 0.58189, obtenido como la raíz cuadrada de la suma de los cuadrados de los componentes del vector.
Este enfoque nos lleva a retocar la función de coste correspondiente a una muestra dejándola expresada de la siguiente manera:
<a class="colorbox insert-colorbox" data-colorbox-gallery="gallery-node" data-insert-class="" data-insert-type="image" href="/sites/default/files/2020-11/tutdl_0143.jpg"></a>
(donde ||x̄|| representa el módulo del vector x̄)
...y definiendo, por lo tanto, la función de coste global con la siguiente expresión (o alguna variación de ésta):
<a class="colorbox insert-colorbox" data-colorbox-gallery="gallery-node" data-insert-class="" data-insert-type="image" href="/sites/default/files/2020-11/tutdl_0144.jpg"></a>
', 'es') (Line: 118)
Drupal\filter\Element\ProcessedText::preRenderText(Array)
call_user_func_array(Array, Array) (Line: 101)
Drupal\Core\Render\Renderer->doTrustedCallback(Array, Array, 'Render #pre_render callbacks must be methods of a class that implements \Drupal\Core\Security\TrustedCallbackInterface or be an anonymous function. The callback was %s. See https://www.drupal.org/node/2966725', 'exception', 'Drupal\Core\Render\Element\RenderCallbackInterface') (Line: 788)
Drupal\Core\Render\Renderer->doCallback('#pre_render', Array, Array) (Line: 374)
Drupal\Core\Render\Renderer->doRender(Array, ) (Line: 204)
Drupal\Core\Render\Renderer->render(Array) (Line: 479)
Drupal\Core\Template\TwigExtension->escapeFilter(Object, Array, 'html', NULL, 1) (Line: 88)
__TwigTemplate_a7d6005c89ae729617b9a0c2bccb1776->doDisplay(Array, Array) (Line: 405)
Twig\Template->displayWithErrorHandling(Array, Array) (Line: 378)
Twig\Template->display(Array, Array) (Line: 46)
__TwigTemplate_804f7948456cfe20e11a34c43439c7c2->doDisplay(Array, Array) (Line: 405)
Twig\Template->displayWithErrorHandling(Array, Array) (Line: 378)
Twig\Template->display(Array, Array) (Line: 43)
__TwigTemplate_bd990293b89f3b78c69fe0ee2f7828b5->doDisplay(Array, Array) (Line: 405)
Twig\Template->displayWithErrorHandling(Array, Array) (Line: 378)
Twig\Template->display(Array) (Line: 390)
Twig\Template->render(Array) (Line: 55)
twig_render_template('themes/contrib/classy/templates/field/field--text-with-summary.html.twig', Array) (Line: 384)
Drupal\Core\Theme\ThemeManager->render('field', Array) (Line: 433)
Drupal\Core\Render\Renderer->doRender(Array) (Line: 446)
Drupal\Core\Render\Renderer->doRender(Array, ) (Line: 204)
Drupal\Core\Render\Renderer->render(Array) (Line: 479)
Drupal\Core\Template\TwigExtension->escapeFilter(Object, Array, 'html', NULL, 1) (Line: 74)
__TwigTemplate_94047fbdba6937b76a4479dfa1763452->doDisplay(Array, Array) (Line: 405)
Twig\Template->displayWithErrorHandling(Array, Array) (Line: 378)
Twig\Template->display(Array) (Line: 390)
Twig\Template->render(Array) (Line: 55)
twig_render_template('themes/custom/yg_aesthetic/templates/node.html.twig', Array) (Line: 384)
Drupal\Core\Theme\ThemeManager->render('node', Array) (Line: 433)
Drupal\Core\Render\Renderer->doRender(Array, ) (Line: 204)
Drupal\Core\Render\Renderer->render(Array, ) (Line: 242)
Drupal\Core\Render\MainContent\HtmlRenderer->Drupal\Core\Render\MainContent\{closure}() (Line: 580)
Drupal\Core\Render\Renderer->executeInRenderContext(Object, Object) (Line: 235)
Drupal\Core\Render\MainContent\HtmlRenderer->prepare(Array, Object, Object) (Line: 132)
Drupal\Core\Render\MainContent\HtmlRenderer->renderResponse(Array, Object, Object) (Line: 90)
Drupal\Core\EventSubscriber\MainContentViewSubscriber->onViewRenderArray(Object, 'kernel.view', Object)
call_user_func(Array, Object, 'kernel.view', Object) (Line: 142)
Drupal\Component\EventDispatcher\ContainerAwareEventDispatcher->dispatch(Object, 'kernel.view') (Line: 174)
Symfony\Component\HttpKernel\HttpKernel->handleRaw(Object, 1) (Line: 81)
Symfony\Component\HttpKernel\HttpKernel->handle(Object, 1, 1) (Line: 58)
Drupal\Core\StackMiddleware\Session->handle(Object, 1, 1) (Line: 48)
Drupal\Core\StackMiddleware\KernelPreHandle->handle(Object, 1, 1) (Line: 191)
Drupal\page_cache\StackMiddleware\PageCache->fetch(Object, 1, 1) (Line: 128)
Drupal\page_cache\StackMiddleware\PageCache->lookup(Object, 1, 1) (Line: 82)
Drupal\page_cache\StackMiddleware\PageCache->handle(Object, 1, 1) (Line: 48)
Drupal\Core\StackMiddleware\ReverseProxyMiddleware->handle(Object, 1, 1) (Line: 51)
Drupal\Core\StackMiddleware\NegotiationMiddleware->handle(Object, 1, 1) (Line: 23)
Stack\StackedHttpKernel->handle(Object, 1, 1) (Line: 713)
Drupal\Core\DrupalKernel->handle(Object) (Line: 19)
- Deprecated function: Creation of dynamic property Drupal\mysql\Driver\Database\mysql\Select::$alterMetaData is deprecated in Drupal\Core\Database\Query\Select->addMetaData() (line 178 of core/lib/Drupal/Core/Database/Query/Select.php).
Drupal\Core\Database\Query\Select->addMetaData('entity_type', 'file') (Line: 115)
Drupal\Core\Entity\Query\Sql\Query->prepare() (Line: 80)
Drupal\Core\Entity\Query\Sql\Query->execute() (Line: 640)
Drupal\Core\Entity\EntityStorageBase->loadByProperties(Array) (Line: 63)
Drupal\Core\Entity\EntityRepository->loadEntityByUuid('file', 'insert-max_800_px-33da8d39-201d-44d3-87d5-d34c3579ba2e') (Line: 95)
Drupal\editor\Plugin\Filter\EditorFileReference->process('También debemos reconsiderar la <em>función de error</em> o <em>función de coste</em> que vamos a utilizar en nuestro clasificador. Hasta ahora -para hacer más sencilla la interpretación de las explicaciones- hemos dado por supuesto que estábamos trabajando en un entorno de análisis de regresión considerando alguna variación de la siguiente función de coste:
<a class="colorbox insert-colorbox" data-colorbox-gallery="gallery-node" data-insert-class="" data-insert-type="image" href="/sites/default/files/2020-11/tutdl_0141.jpg"></a>
En este escenario la predicción para una muestra i (ŷi) es un número, el valor objetivo o etiqueta (yi) es otro número, por lo que su diferencia elevada al cuadrado es otro número y el resultado del sumatorio también es un número.
En un escenario de clasificación resulta necesario retocar adecuadamente esta función, pues ahora tanto la predicción como el valor objetivo no son valores escalares, sino vectores. <a href="/manual/tutorial-de-deep-learning/variable-objetivo">Ya vimos</a>, por ejemplo, que si estamos trabajando con las imágenes de MNIST y la variable objetivo toma el valor 3 (de 10 clases posibles), esto supone que necesitamos alimentar nuestra red con un vector de 10 números que tomen el valor 0 menos el correspondiente a la clase "3", que deberá tomar el valor 1:
<a class="colorbox insert-colorbox" data-colorbox-gallery="gallery-node" data-insert-class="" data-insert-type="image" href="/sites/default/files/2020-10/tutdl_0113.jpg"></a>
Y con la predicción ocurre exactamente lo mismo: el resultado devuelto por la red neuronal será un vector formado por 10 números indicando cada uno de ellos la "confianza" que la red tiene de que el valor representado en la imagen sea el correspondiente a cada clase.
Esto significa que, para el cálculo del error de una muestra, debemos enfrentar no dos números -como ocurría en el caso del análisis de regresión-, sino dos vectores.
Una solución para obtener este error es restar ambos vectores y obtener el módulo del resultado:
<a class="colorbox insert-colorbox" data-colorbox-gallery="gallery-node" data-insert-class="" data-insert-type="image" href="/sites/default/files/2020-11/tutdl_0142.jpg"></a>
En la imagen anterior partimos de la variable objetivo correspondiente al número 3 (yi), nos inventamos una supuesta predicción (ŷi) y obtenemos la diferencia de ambos vectores (yi-ŷi). En la parte inferior se muestra el módulo de este último vector: 0.58189, obtenido como la raíz cuadrada de la suma de los cuadrados de los componentes del vector.
Este enfoque nos lleva a retocar la función de coste correspondiente a una muestra dejándola expresada de la siguiente manera:
<a class="colorbox insert-colorbox" data-colorbox-gallery="gallery-node" data-insert-class="" data-insert-type="image" href="/sites/default/files/2020-11/tutdl_0143.jpg"></a>
(donde ||x̄|| representa el módulo del vector x̄)
...y definiendo, por lo tanto, la función de coste global con la siguiente expresión (o alguna variación de ésta):
<a class="colorbox insert-colorbox" data-colorbox-gallery="gallery-node" data-insert-class="" data-insert-type="image" href="/sites/default/files/2020-11/tutdl_0144.jpg"></a>
', 'es') (Line: 118)
Drupal\filter\Element\ProcessedText::preRenderText(Array)
call_user_func_array(Array, Array) (Line: 101)
Drupal\Core\Render\Renderer->doTrustedCallback(Array, Array, 'Render #pre_render callbacks must be methods of a class that implements \Drupal\Core\Security\TrustedCallbackInterface or be an anonymous function. The callback was %s. See https://www.drupal.org/node/2966725', 'exception', 'Drupal\Core\Render\Element\RenderCallbackInterface') (Line: 788)
Drupal\Core\Render\Renderer->doCallback('#pre_render', Array, Array) (Line: 374)
Drupal\Core\Render\Renderer->doRender(Array, ) (Line: 204)
Drupal\Core\Render\Renderer->render(Array) (Line: 479)
Drupal\Core\Template\TwigExtension->escapeFilter(Object, Array, 'html', NULL, 1) (Line: 88)
__TwigTemplate_a7d6005c89ae729617b9a0c2bccb1776->doDisplay(Array, Array) (Line: 405)
Twig\Template->displayWithErrorHandling(Array, Array) (Line: 378)
Twig\Template->display(Array, Array) (Line: 46)
__TwigTemplate_804f7948456cfe20e11a34c43439c7c2->doDisplay(Array, Array) (Line: 405)
Twig\Template->displayWithErrorHandling(Array, Array) (Line: 378)
Twig\Template->display(Array, Array) (Line: 43)
__TwigTemplate_bd990293b89f3b78c69fe0ee2f7828b5->doDisplay(Array, Array) (Line: 405)
Twig\Template->displayWithErrorHandling(Array, Array) (Line: 378)
Twig\Template->display(Array) (Line: 390)
Twig\Template->render(Array) (Line: 55)
twig_render_template('themes/contrib/classy/templates/field/field--text-with-summary.html.twig', Array) (Line: 384)
Drupal\Core\Theme\ThemeManager->render('field', Array) (Line: 433)
Drupal\Core\Render\Renderer->doRender(Array) (Line: 446)
Drupal\Core\Render\Renderer->doRender(Array, ) (Line: 204)
Drupal\Core\Render\Renderer->render(Array) (Line: 479)
Drupal\Core\Template\TwigExtension->escapeFilter(Object, Array, 'html', NULL, 1) (Line: 74)
__TwigTemplate_94047fbdba6937b76a4479dfa1763452->doDisplay(Array, Array) (Line: 405)
Twig\Template->displayWithErrorHandling(Array, Array) (Line: 378)
Twig\Template->display(Array) (Line: 390)
Twig\Template->render(Array) (Line: 55)
twig_render_template('themes/custom/yg_aesthetic/templates/node.html.twig', Array) (Line: 384)
Drupal\Core\Theme\ThemeManager->render('node', Array) (Line: 433)
Drupal\Core\Render\Renderer->doRender(Array, ) (Line: 204)
Drupal\Core\Render\Renderer->render(Array, ) (Line: 242)
Drupal\Core\Render\MainContent\HtmlRenderer->Drupal\Core\Render\MainContent\{closure}() (Line: 580)
Drupal\Core\Render\Renderer->executeInRenderContext(Object, Object) (Line: 235)
Drupal\Core\Render\MainContent\HtmlRenderer->prepare(Array, Object, Object) (Line: 132)
Drupal\Core\Render\MainContent\HtmlRenderer->renderResponse(Array, Object, Object) (Line: 90)
Drupal\Core\EventSubscriber\MainContentViewSubscriber->onViewRenderArray(Object, 'kernel.view', Object)
call_user_func(Array, Object, 'kernel.view', Object) (Line: 142)
Drupal\Component\EventDispatcher\ContainerAwareEventDispatcher->dispatch(Object, 'kernel.view') (Line: 174)
Symfony\Component\HttpKernel\HttpKernel->handleRaw(Object, 1) (Line: 81)
Symfony\Component\HttpKernel\HttpKernel->handle(Object, 1, 1) (Line: 58)
Drupal\Core\StackMiddleware\Session->handle(Object, 1, 1) (Line: 48)
Drupal\Core\StackMiddleware\KernelPreHandle->handle(Object, 1, 1) (Line: 191)
Drupal\page_cache\StackMiddleware\PageCache->fetch(Object, 1, 1) (Line: 128)
Drupal\page_cache\StackMiddleware\PageCache->lookup(Object, 1, 1) (Line: 82)
Drupal\page_cache\StackMiddleware\PageCache->handle(Object, 1, 1) (Line: 48)
Drupal\Core\StackMiddleware\ReverseProxyMiddleware->handle(Object, 1, 1) (Line: 51)
Drupal\Core\StackMiddleware\NegotiationMiddleware->handle(Object, 1, 1) (Line: 23)
Stack\StackedHttpKernel->handle(Object, 1, 1) (Line: 713)
Drupal\Core\DrupalKernel->handle(Object) (Line: 19)
- Deprecated function: Creation of dynamic property Drupal\mysql\Driver\Database\mysql\Select::$alterTags is deprecated in Drupal\Core\Database\Query\Select->addTag() (line 149 of core/lib/Drupal/Core/Database/Query/Select.php).
Drupal\Core\Database\Query\Select->addTag('entity_query') (Line: 147)
Drupal\Core\Entity\Query\Sql\Query->prepare() (Line: 80)
Drupal\Core\Entity\Query\Sql\Query->execute() (Line: 640)
Drupal\Core\Entity\EntityStorageBase->loadByProperties(Array) (Line: 63)
Drupal\Core\Entity\EntityRepository->loadEntityByUuid('file', 'insert-max_800_px-33da8d39-201d-44d3-87d5-d34c3579ba2e') (Line: 95)
Drupal\editor\Plugin\Filter\EditorFileReference->process('También debemos reconsiderar la <em>función de error</em> o <em>función de coste</em> que vamos a utilizar en nuestro clasificador. Hasta ahora -para hacer más sencilla la interpretación de las explicaciones- hemos dado por supuesto que estábamos trabajando en un entorno de análisis de regresión considerando alguna variación de la siguiente función de coste:
<a class="colorbox insert-colorbox" data-colorbox-gallery="gallery-node" data-insert-class="" data-insert-type="image" href="/sites/default/files/2020-11/tutdl_0141.jpg"></a>
En este escenario la predicción para una muestra i (ŷi) es un número, el valor objetivo o etiqueta (yi) es otro número, por lo que su diferencia elevada al cuadrado es otro número y el resultado del sumatorio también es un número.
En un escenario de clasificación resulta necesario retocar adecuadamente esta función, pues ahora tanto la predicción como el valor objetivo no son valores escalares, sino vectores. <a href="/manual/tutorial-de-deep-learning/variable-objetivo">Ya vimos</a>, por ejemplo, que si estamos trabajando con las imágenes de MNIST y la variable objetivo toma el valor 3 (de 10 clases posibles), esto supone que necesitamos alimentar nuestra red con un vector de 10 números que tomen el valor 0 menos el correspondiente a la clase "3", que deberá tomar el valor 1:
<a class="colorbox insert-colorbox" data-colorbox-gallery="gallery-node" data-insert-class="" data-insert-type="image" href="/sites/default/files/2020-10/tutdl_0113.jpg"></a>
Y con la predicción ocurre exactamente lo mismo: el resultado devuelto por la red neuronal será un vector formado por 10 números indicando cada uno de ellos la "confianza" que la red tiene de que el valor representado en la imagen sea el correspondiente a cada clase.
Esto significa que, para el cálculo del error de una muestra, debemos enfrentar no dos números -como ocurría en el caso del análisis de regresión-, sino dos vectores.
Una solución para obtener este error es restar ambos vectores y obtener el módulo del resultado:
<a class="colorbox insert-colorbox" data-colorbox-gallery="gallery-node" data-insert-class="" data-insert-type="image" href="/sites/default/files/2020-11/tutdl_0142.jpg"></a>
En la imagen anterior partimos de la variable objetivo correspondiente al número 3 (yi), nos inventamos una supuesta predicción (ŷi) y obtenemos la diferencia de ambos vectores (yi-ŷi). En la parte inferior se muestra el módulo de este último vector: 0.58189, obtenido como la raíz cuadrada de la suma de los cuadrados de los componentes del vector.
Este enfoque nos lleva a retocar la función de coste correspondiente a una muestra dejándola expresada de la siguiente manera:
<a class="colorbox insert-colorbox" data-colorbox-gallery="gallery-node" data-insert-class="" data-insert-type="image" href="/sites/default/files/2020-11/tutdl_0143.jpg"></a>
(donde ||x̄|| representa el módulo del vector x̄)
...y definiendo, por lo tanto, la función de coste global con la siguiente expresión (o alguna variación de ésta):
<a class="colorbox insert-colorbox" data-colorbox-gallery="gallery-node" data-insert-class="" data-insert-type="image" href="/sites/default/files/2020-11/tutdl_0144.jpg"></a>
', 'es') (Line: 118)
Drupal\filter\Element\ProcessedText::preRenderText(Array)
call_user_func_array(Array, Array) (Line: 101)
Drupal\Core\Render\Renderer->doTrustedCallback(Array, Array, 'Render #pre_render callbacks must be methods of a class that implements \Drupal\Core\Security\TrustedCallbackInterface or be an anonymous function. The callback was %s. See https://www.drupal.org/node/2966725', 'exception', 'Drupal\Core\Render\Element\RenderCallbackInterface') (Line: 788)
Drupal\Core\Render\Renderer->doCallback('#pre_render', Array, Array) (Line: 374)
Drupal\Core\Render\Renderer->doRender(Array, ) (Line: 204)
Drupal\Core\Render\Renderer->render(Array) (Line: 479)
Drupal\Core\Template\TwigExtension->escapeFilter(Object, Array, 'html', NULL, 1) (Line: 88)
__TwigTemplate_a7d6005c89ae729617b9a0c2bccb1776->doDisplay(Array, Array) (Line: 405)
Twig\Template->displayWithErrorHandling(Array, Array) (Line: 378)
Twig\Template->display(Array, Array) (Line: 46)
__TwigTemplate_804f7948456cfe20e11a34c43439c7c2->doDisplay(Array, Array) (Line: 405)
Twig\Template->displayWithErrorHandling(Array, Array) (Line: 378)
Twig\Template->display(Array, Array) (Line: 43)
__TwigTemplate_bd990293b89f3b78c69fe0ee2f7828b5->doDisplay(Array, Array) (Line: 405)
Twig\Template->displayWithErrorHandling(Array, Array) (Line: 378)
Twig\Template->display(Array) (Line: 390)
Twig\Template->render(Array) (Line: 55)
twig_render_template('themes/contrib/classy/templates/field/field--text-with-summary.html.twig', Array) (Line: 384)
Drupal\Core\Theme\ThemeManager->render('field', Array) (Line: 433)
Drupal\Core\Render\Renderer->doRender(Array) (Line: 446)
Drupal\Core\Render\Renderer->doRender(Array, ) (Line: 204)
Drupal\Core\Render\Renderer->render(Array) (Line: 479)
Drupal\Core\Template\TwigExtension->escapeFilter(Object, Array, 'html', NULL, 1) (Line: 74)
__TwigTemplate_94047fbdba6937b76a4479dfa1763452->doDisplay(Array, Array) (Line: 405)
Twig\Template->displayWithErrorHandling(Array, Array) (Line: 378)
Twig\Template->display(Array) (Line: 390)
Twig\Template->render(Array) (Line: 55)
twig_render_template('themes/custom/yg_aesthetic/templates/node.html.twig', Array) (Line: 384)
Drupal\Core\Theme\ThemeManager->render('node', Array) (Line: 433)
Drupal\Core\Render\Renderer->doRender(Array, ) (Line: 204)
Drupal\Core\Render\Renderer->render(Array, ) (Line: 242)
Drupal\Core\Render\MainContent\HtmlRenderer->Drupal\Core\Render\MainContent\{closure}() (Line: 580)
Drupal\Core\Render\Renderer->executeInRenderContext(Object, Object) (Line: 235)
Drupal\Core\Render\MainContent\HtmlRenderer->prepare(Array, Object, Object) (Line: 132)
Drupal\Core\Render\MainContent\HtmlRenderer->renderResponse(Array, Object, Object) (Line: 90)
Drupal\Core\EventSubscriber\MainContentViewSubscriber->onViewRenderArray(Object, 'kernel.view', Object)
call_user_func(Array, Object, 'kernel.view', Object) (Line: 142)
Drupal\Component\EventDispatcher\ContainerAwareEventDispatcher->dispatch(Object, 'kernel.view') (Line: 174)
Symfony\Component\HttpKernel\HttpKernel->handleRaw(Object, 1) (Line: 81)
Symfony\Component\HttpKernel\HttpKernel->handle(Object, 1, 1) (Line: 58)
Drupal\Core\StackMiddleware\Session->handle(Object, 1, 1) (Line: 48)
Drupal\Core\StackMiddleware\KernelPreHandle->handle(Object, 1, 1) (Line: 191)
Drupal\page_cache\StackMiddleware\PageCache->fetch(Object, 1, 1) (Line: 128)
Drupal\page_cache\StackMiddleware\PageCache->lookup(Object, 1, 1) (Line: 82)
Drupal\page_cache\StackMiddleware\PageCache->handle(Object, 1, 1) (Line: 48)
Drupal\Core\StackMiddleware\ReverseProxyMiddleware->handle(Object, 1, 1) (Line: 51)
Drupal\Core\StackMiddleware\NegotiationMiddleware->handle(Object, 1, 1) (Line: 23)
Stack\StackedHttpKernel->handle(Object, 1, 1) (Line: 713)
Drupal\Core\DrupalKernel->handle(Object) (Line: 19)
- Deprecated function: Creation of dynamic property Drupal\mysql\Driver\Database\mysql\Select::$alterMetaData is deprecated in Drupal\Core\Database\Query\Select->addMetaData() (line 178 of core/lib/Drupal/Core/Database/Query/Select.php).
Drupal\Core\Database\Query\Select->addMetaData('entity_type', 'file') (Line: 115)
Drupal\Core\Entity\Query\Sql\Query->prepare() (Line: 80)
Drupal\Core\Entity\Query\Sql\Query->execute() (Line: 640)
Drupal\Core\Entity\EntityStorageBase->loadByProperties(Array) (Line: 63)
Drupal\Core\Entity\EntityRepository->loadEntityByUuid('file', 'insert-max_800_px-33da8d39-201d-44d3-87d5-d34c3579ba2e') (Line: 124)
Drupal\editor\Plugin\Filter\EditorFileReference->process('También debemos reconsiderar la <em>función de error</em> o <em>función de coste</em> que vamos a utilizar en nuestro clasificador. Hasta ahora -para hacer más sencilla la interpretación de las explicaciones- hemos dado por supuesto que estábamos trabajando en un entorno de análisis de regresión considerando alguna variación de la siguiente función de coste:
<a class="colorbox insert-colorbox" data-colorbox-gallery="gallery-node" data-insert-class="" data-insert-type="image" href="/sites/default/files/2020-11/tutdl_0141.jpg"></a>
En este escenario la predicción para una muestra i (ŷi) es un número, el valor objetivo o etiqueta (yi) es otro número, por lo que su diferencia elevada al cuadrado es otro número y el resultado del sumatorio también es un número.
En un escenario de clasificación resulta necesario retocar adecuadamente esta función, pues ahora tanto la predicción como el valor objetivo no son valores escalares, sino vectores. <a href="/manual/tutorial-de-deep-learning/variable-objetivo">Ya vimos</a>, por ejemplo, que si estamos trabajando con las imágenes de MNIST y la variable objetivo toma el valor 3 (de 10 clases posibles), esto supone que necesitamos alimentar nuestra red con un vector de 10 números que tomen el valor 0 menos el correspondiente a la clase "3", que deberá tomar el valor 1:
<a class="colorbox insert-colorbox" data-colorbox-gallery="gallery-node" data-insert-class="" data-insert-type="image" href="/sites/default/files/2020-10/tutdl_0113.jpg"></a>
Y con la predicción ocurre exactamente lo mismo: el resultado devuelto por la red neuronal será un vector formado por 10 números indicando cada uno de ellos la "confianza" que la red tiene de que el valor representado en la imagen sea el correspondiente a cada clase.
Esto significa que, para el cálculo del error de una muestra, debemos enfrentar no dos números -como ocurría en el caso del análisis de regresión-, sino dos vectores.
Una solución para obtener este error es restar ambos vectores y obtener el módulo del resultado:
<a class="colorbox insert-colorbox" data-colorbox-gallery="gallery-node" data-insert-class="" data-insert-type="image" href="/sites/default/files/2020-11/tutdl_0142.jpg"></a>
En la imagen anterior partimos de la variable objetivo correspondiente al número 3 (yi), nos inventamos una supuesta predicción (ŷi) y obtenemos la diferencia de ambos vectores (yi-ŷi). En la parte inferior se muestra el módulo de este último vector: 0.58189, obtenido como la raíz cuadrada de la suma de los cuadrados de los componentes del vector.
Este enfoque nos lleva a retocar la función de coste correspondiente a una muestra dejándola expresada de la siguiente manera:
<a class="colorbox insert-colorbox" data-colorbox-gallery="gallery-node" data-insert-class="" data-insert-type="image" href="/sites/default/files/2020-11/tutdl_0143.jpg"></a>
(donde ||x̄|| representa el módulo del vector x̄)
...y definiendo, por lo tanto, la función de coste global con la siguiente expresión (o alguna variación de ésta):
<a class="colorbox insert-colorbox" data-colorbox-gallery="gallery-node" data-insert-class="" data-insert-type="image" href="/sites/default/files/2020-11/tutdl_0144.jpg"></a>
', 'es') (Line: 118)
Drupal\filter\Element\ProcessedText::preRenderText(Array)
call_user_func_array(Array, Array) (Line: 101)
Drupal\Core\Render\Renderer->doTrustedCallback(Array, Array, 'Render #pre_render callbacks must be methods of a class that implements \Drupal\Core\Security\TrustedCallbackInterface or be an anonymous function. The callback was %s. See https://www.drupal.org/node/2966725', 'exception', 'Drupal\Core\Render\Element\RenderCallbackInterface') (Line: 788)
Drupal\Core\Render\Renderer->doCallback('#pre_render', Array, Array) (Line: 374)
Drupal\Core\Render\Renderer->doRender(Array, ) (Line: 204)
Drupal\Core\Render\Renderer->render(Array) (Line: 479)
Drupal\Core\Template\TwigExtension->escapeFilter(Object, Array, 'html', NULL, 1) (Line: 88)
__TwigTemplate_a7d6005c89ae729617b9a0c2bccb1776->doDisplay(Array, Array) (Line: 405)
Twig\Template->displayWithErrorHandling(Array, Array) (Line: 378)
Twig\Template->display(Array, Array) (Line: 46)
__TwigTemplate_804f7948456cfe20e11a34c43439c7c2->doDisplay(Array, Array) (Line: 405)
Twig\Template->displayWithErrorHandling(Array, Array) (Line: 378)
Twig\Template->display(Array, Array) (Line: 43)
__TwigTemplate_bd990293b89f3b78c69fe0ee2f7828b5->doDisplay(Array, Array) (Line: 405)
Twig\Template->displayWithErrorHandling(Array, Array) (Line: 378)
Twig\Template->display(Array) (Line: 390)
Twig\Template->render(Array) (Line: 55)
twig_render_template('themes/contrib/classy/templates/field/field--text-with-summary.html.twig', Array) (Line: 384)
Drupal\Core\Theme\ThemeManager->render('field', Array) (Line: 433)
Drupal\Core\Render\Renderer->doRender(Array) (Line: 446)
Drupal\Core\Render\Renderer->doRender(Array, ) (Line: 204)
Drupal\Core\Render\Renderer->render(Array) (Line: 479)
Drupal\Core\Template\TwigExtension->escapeFilter(Object, Array, 'html', NULL, 1) (Line: 74)
__TwigTemplate_94047fbdba6937b76a4479dfa1763452->doDisplay(Array, Array) (Line: 405)
Twig\Template->displayWithErrorHandling(Array, Array) (Line: 378)
Twig\Template->display(Array) (Line: 390)
Twig\Template->render(Array) (Line: 55)
twig_render_template('themes/custom/yg_aesthetic/templates/node.html.twig', Array) (Line: 384)
Drupal\Core\Theme\ThemeManager->render('node', Array) (Line: 433)
Drupal\Core\Render\Renderer->doRender(Array, ) (Line: 204)
Drupal\Core\Render\Renderer->render(Array, ) (Line: 242)
Drupal\Core\Render\MainContent\HtmlRenderer->Drupal\Core\Render\MainContent\{closure}() (Line: 580)
Drupal\Core\Render\Renderer->executeInRenderContext(Object, Object) (Line: 235)
Drupal\Core\Render\MainContent\HtmlRenderer->prepare(Array, Object, Object) (Line: 132)
Drupal\Core\Render\MainContent\HtmlRenderer->renderResponse(Array, Object, Object) (Line: 90)
Drupal\Core\EventSubscriber\MainContentViewSubscriber->onViewRenderArray(Object, 'kernel.view', Object)
call_user_func(Array, Object, 'kernel.view', Object) (Line: 142)
Drupal\Component\EventDispatcher\ContainerAwareEventDispatcher->dispatch(Object, 'kernel.view') (Line: 174)
Symfony\Component\HttpKernel\HttpKernel->handleRaw(Object, 1) (Line: 81)
Symfony\Component\HttpKernel\HttpKernel->handle(Object, 1, 1) (Line: 58)
Drupal\Core\StackMiddleware\Session->handle(Object, 1, 1) (Line: 48)
Drupal\Core\StackMiddleware\KernelPreHandle->handle(Object, 1, 1) (Line: 191)
Drupal\page_cache\StackMiddleware\PageCache->fetch(Object, 1, 1) (Line: 128)
Drupal\page_cache\StackMiddleware\PageCache->lookup(Object, 1, 1) (Line: 82)
Drupal\page_cache\StackMiddleware\PageCache->handle(Object, 1, 1) (Line: 48)
Drupal\Core\StackMiddleware\ReverseProxyMiddleware->handle(Object, 1, 1) (Line: 51)
Drupal\Core\StackMiddleware\NegotiationMiddleware->handle(Object, 1, 1) (Line: 23)
Stack\StackedHttpKernel->handle(Object, 1, 1) (Line: 713)
Drupal\Core\DrupalKernel->handle(Object) (Line: 19)
- Deprecated function: Creation of dynamic property Drupal\mysql\Driver\Database\mysql\Select::$alterTags is deprecated in Drupal\Core\Database\Query\Select->addTag() (line 149 of core/lib/Drupal/Core/Database/Query/Select.php).
Drupal\Core\Database\Query\Select->addTag('entity_query') (Line: 147)
Drupal\Core\Entity\Query\Sql\Query->prepare() (Line: 80)
Drupal\Core\Entity\Query\Sql\Query->execute() (Line: 640)
Drupal\Core\Entity\EntityStorageBase->loadByProperties(Array) (Line: 63)
Drupal\Core\Entity\EntityRepository->loadEntityByUuid('file', 'insert-max_800_px-33da8d39-201d-44d3-87d5-d34c3579ba2e') (Line: 124)
Drupal\editor\Plugin\Filter\EditorFileReference->process('También debemos reconsiderar la <em>función de error</em> o <em>función de coste</em> que vamos a utilizar en nuestro clasificador. Hasta ahora -para hacer más sencilla la interpretación de las explicaciones- hemos dado por supuesto que estábamos trabajando en un entorno de análisis de regresión considerando alguna variación de la siguiente función de coste:
<a class="colorbox insert-colorbox" data-colorbox-gallery="gallery-node" data-insert-class="" data-insert-type="image" href="/sites/default/files/2020-11/tutdl_0141.jpg"></a>
En este escenario la predicción para una muestra i (ŷi) es un número, el valor objetivo o etiqueta (yi) es otro número, por lo que su diferencia elevada al cuadrado es otro número y el resultado del sumatorio también es un número.
En un escenario de clasificación resulta necesario retocar adecuadamente esta función, pues ahora tanto la predicción como el valor objetivo no son valores escalares, sino vectores. <a href="/manual/tutorial-de-deep-learning/variable-objetivo">Ya vimos</a>, por ejemplo, que si estamos trabajando con las imágenes de MNIST y la variable objetivo toma el valor 3 (de 10 clases posibles), esto supone que necesitamos alimentar nuestra red con un vector de 10 números que tomen el valor 0 menos el correspondiente a la clase "3", que deberá tomar el valor 1:
<a class="colorbox insert-colorbox" data-colorbox-gallery="gallery-node" data-insert-class="" data-insert-type="image" href="/sites/default/files/2020-10/tutdl_0113.jpg"></a>
Y con la predicción ocurre exactamente lo mismo: el resultado devuelto por la red neuronal será un vector formado por 10 números indicando cada uno de ellos la "confianza" que la red tiene de que el valor representado en la imagen sea el correspondiente a cada clase.
Esto significa que, para el cálculo del error de una muestra, debemos enfrentar no dos números -como ocurría en el caso del análisis de regresión-, sino dos vectores.
Una solución para obtener este error es restar ambos vectores y obtener el módulo del resultado:
<a class="colorbox insert-colorbox" data-colorbox-gallery="gallery-node" data-insert-class="" data-insert-type="image" href="/sites/default/files/2020-11/tutdl_0142.jpg"></a>
En la imagen anterior partimos de la variable objetivo correspondiente al número 3 (yi), nos inventamos una supuesta predicción (ŷi) y obtenemos la diferencia de ambos vectores (yi-ŷi). En la parte inferior se muestra el módulo de este último vector: 0.58189, obtenido como la raíz cuadrada de la suma de los cuadrados de los componentes del vector.
Este enfoque nos lleva a retocar la función de coste correspondiente a una muestra dejándola expresada de la siguiente manera:
<a class="colorbox insert-colorbox" data-colorbox-gallery="gallery-node" data-insert-class="" data-insert-type="image" href="/sites/default/files/2020-11/tutdl_0143.jpg"></a>
(donde ||x̄|| representa el módulo del vector x̄)
...y definiendo, por lo tanto, la función de coste global con la siguiente expresión (o alguna variación de ésta):
<a class="colorbox insert-colorbox" data-colorbox-gallery="gallery-node" data-insert-class="" data-insert-type="image" href="/sites/default/files/2020-11/tutdl_0144.jpg"></a>
', 'es') (Line: 118)
Drupal\filter\Element\ProcessedText::preRenderText(Array)
call_user_func_array(Array, Array) (Line: 101)
Drupal\Core\Render\Renderer->doTrustedCallback(Array, Array, 'Render #pre_render callbacks must be methods of a class that implements \Drupal\Core\Security\TrustedCallbackInterface or be an anonymous function. The callback was %s. See https://www.drupal.org/node/2966725', 'exception', 'Drupal\Core\Render\Element\RenderCallbackInterface') (Line: 788)
Drupal\Core\Render\Renderer->doCallback('#pre_render', Array, Array) (Line: 374)
Drupal\Core\Render\Renderer->doRender(Array, ) (Line: 204)
Drupal\Core\Render\Renderer->render(Array) (Line: 479)
Drupal\Core\Template\TwigExtension->escapeFilter(Object, Array, 'html', NULL, 1) (Line: 88)
__TwigTemplate_a7d6005c89ae729617b9a0c2bccb1776->doDisplay(Array, Array) (Line: 405)
Twig\Template->displayWithErrorHandling(Array, Array) (Line: 378)
Twig\Template->display(Array, Array) (Line: 46)
__TwigTemplate_804f7948456cfe20e11a34c43439c7c2->doDisplay(Array, Array) (Line: 405)
Twig\Template->displayWithErrorHandling(Array, Array) (Line: 378)
Twig\Template->display(Array, Array) (Line: 43)
__TwigTemplate_bd990293b89f3b78c69fe0ee2f7828b5->doDisplay(Array, Array) (Line: 405)
Twig\Template->displayWithErrorHandling(Array, Array) (Line: 378)
Twig\Template->display(Array) (Line: 390)
Twig\Template->render(Array) (Line: 55)
twig_render_template('themes/contrib/classy/templates/field/field--text-with-summary.html.twig', Array) (Line: 384)
Drupal\Core\Theme\ThemeManager->render('field', Array) (Line: 433)
Drupal\Core\Render\Renderer->doRender(Array) (Line: 446)
Drupal\Core\Render\Renderer->doRender(Array, ) (Line: 204)
Drupal\Core\Render\Renderer->render(Array) (Line: 479)
Drupal\Core\Template\TwigExtension->escapeFilter(Object, Array, 'html', NULL, 1) (Line: 74)
__TwigTemplate_94047fbdba6937b76a4479dfa1763452->doDisplay(Array, Array) (Line: 405)
Twig\Template->displayWithErrorHandling(Array, Array) (Line: 378)
Twig\Template->display(Array) (Line: 390)
Twig\Template->render(Array) (Line: 55)
twig_render_template('themes/custom/yg_aesthetic/templates/node.html.twig', Array) (Line: 384)
Drupal\Core\Theme\ThemeManager->render('node', Array) (Line: 433)
Drupal\Core\Render\Renderer->doRender(Array, ) (Line: 204)
Drupal\Core\Render\Renderer->render(Array, ) (Line: 242)
Drupal\Core\Render\MainContent\HtmlRenderer->Drupal\Core\Render\MainContent\{closure}() (Line: 580)
Drupal\Core\Render\Renderer->executeInRenderContext(Object, Object) (Line: 235)
Drupal\Core\Render\MainContent\HtmlRenderer->prepare(Array, Object, Object) (Line: 132)
Drupal\Core\Render\MainContent\HtmlRenderer->renderResponse(Array, Object, Object) (Line: 90)
Drupal\Core\EventSubscriber\MainContentViewSubscriber->onViewRenderArray(Object, 'kernel.view', Object)
call_user_func(Array, Object, 'kernel.view', Object) (Line: 142)
Drupal\Component\EventDispatcher\ContainerAwareEventDispatcher->dispatch(Object, 'kernel.view') (Line: 174)
Symfony\Component\HttpKernel\HttpKernel->handleRaw(Object, 1) (Line: 81)
Symfony\Component\HttpKernel\HttpKernel->handle(Object, 1, 1) (Line: 58)
Drupal\Core\StackMiddleware\Session->handle(Object, 1, 1) (Line: 48)
Drupal\Core\StackMiddleware\KernelPreHandle->handle(Object, 1, 1) (Line: 191)
Drupal\page_cache\StackMiddleware\PageCache->fetch(Object, 1, 1) (Line: 128)
Drupal\page_cache\StackMiddleware\PageCache->lookup(Object, 1, 1) (Line: 82)
Drupal\page_cache\StackMiddleware\PageCache->handle(Object, 1, 1) (Line: 48)
Drupal\Core\StackMiddleware\ReverseProxyMiddleware->handle(Object, 1, 1) (Line: 51)
Drupal\Core\StackMiddleware\NegotiationMiddleware->handle(Object, 1, 1) (Line: 23)
Stack\StackedHttpKernel->handle(Object, 1, 1) (Line: 713)
Drupal\Core\DrupalKernel->handle(Object) (Line: 19)
- Deprecated function: Creation of dynamic property Drupal\mysql\Driver\Database\mysql\Select::$alterMetaData is deprecated in Drupal\Core\Database\Query\Select->addMetaData() (line 178 of core/lib/Drupal/Core/Database/Query/Select.php).
Drupal\Core\Database\Query\Select->addMetaData('entity_type', 'file') (Line: 115)
Drupal\Core\Entity\Query\Sql\Query->prepare() (Line: 80)
Drupal\Core\Entity\Query\Sql\Query->execute() (Line: 640)
Drupal\Core\Entity\EntityStorageBase->loadByProperties(Array) (Line: 63)
Drupal\Core\Entity\EntityRepository->loadEntityByUuid('file', 'insert-max_800_px-c814baa1-3aa7-41d6-bab8-edf020be8bec') (Line: 95)
Drupal\editor\Plugin\Filter\EditorFileReference->process('También debemos reconsiderar la <em>función de error</em> o <em>función de coste</em> que vamos a utilizar en nuestro clasificador. Hasta ahora -para hacer más sencilla la interpretación de las explicaciones- hemos dado por supuesto que estábamos trabajando en un entorno de análisis de regresión considerando alguna variación de la siguiente función de coste:
<a class="colorbox insert-colorbox" data-colorbox-gallery="gallery-node" data-insert-class="" data-insert-type="image" href="/sites/default/files/2020-11/tutdl_0141.jpg"></a>
En este escenario la predicción para una muestra i (ŷi) es un número, el valor objetivo o etiqueta (yi) es otro número, por lo que su diferencia elevada al cuadrado es otro número y el resultado del sumatorio también es un número.
En un escenario de clasificación resulta necesario retocar adecuadamente esta función, pues ahora tanto la predicción como el valor objetivo no son valores escalares, sino vectores. <a href="/manual/tutorial-de-deep-learning/variable-objetivo">Ya vimos</a>, por ejemplo, que si estamos trabajando con las imágenes de MNIST y la variable objetivo toma el valor 3 (de 10 clases posibles), esto supone que necesitamos alimentar nuestra red con un vector de 10 números que tomen el valor 0 menos el correspondiente a la clase "3", que deberá tomar el valor 1:
<a class="colorbox insert-colorbox" data-colorbox-gallery="gallery-node" data-insert-class="" data-insert-type="image" href="/sites/default/files/2020-10/tutdl_0113.jpg"></a>
Y con la predicción ocurre exactamente lo mismo: el resultado devuelto por la red neuronal será un vector formado por 10 números indicando cada uno de ellos la "confianza" que la red tiene de que el valor representado en la imagen sea el correspondiente a cada clase.
Esto significa que, para el cálculo del error de una muestra, debemos enfrentar no dos números -como ocurría en el caso del análisis de regresión-, sino dos vectores.
Una solución para obtener este error es restar ambos vectores y obtener el módulo del resultado:
<a class="colorbox insert-colorbox" data-colorbox-gallery="gallery-node" data-insert-class="" data-insert-type="image" href="/sites/default/files/2020-11/tutdl_0142.jpg"></a>
En la imagen anterior partimos de la variable objetivo correspondiente al número 3 (yi), nos inventamos una supuesta predicción (ŷi) y obtenemos la diferencia de ambos vectores (yi-ŷi). En la parte inferior se muestra el módulo de este último vector: 0.58189, obtenido como la raíz cuadrada de la suma de los cuadrados de los componentes del vector.
Este enfoque nos lleva a retocar la función de coste correspondiente a una muestra dejándola expresada de la siguiente manera:
<a class="colorbox insert-colorbox" data-colorbox-gallery="gallery-node" data-insert-class="" data-insert-type="image" href="/sites/default/files/2020-11/tutdl_0143.jpg"></a>
(donde ||x̄|| representa el módulo del vector x̄)
...y definiendo, por lo tanto, la función de coste global con la siguiente expresión (o alguna variación de ésta):
<a class="colorbox insert-colorbox" data-colorbox-gallery="gallery-node" data-insert-class="" data-insert-type="image" href="/sites/default/files/2020-11/tutdl_0144.jpg"></a>
', 'es') (Line: 118)
Drupal\filter\Element\ProcessedText::preRenderText(Array)
call_user_func_array(Array, Array) (Line: 101)
Drupal\Core\Render\Renderer->doTrustedCallback(Array, Array, 'Render #pre_render callbacks must be methods of a class that implements \Drupal\Core\Security\TrustedCallbackInterface or be an anonymous function. The callback was %s. See https://www.drupal.org/node/2966725', 'exception', 'Drupal\Core\Render\Element\RenderCallbackInterface') (Line: 788)
Drupal\Core\Render\Renderer->doCallback('#pre_render', Array, Array) (Line: 374)
Drupal\Core\Render\Renderer->doRender(Array, ) (Line: 204)
Drupal\Core\Render\Renderer->render(Array) (Line: 479)
Drupal\Core\Template\TwigExtension->escapeFilter(Object, Array, 'html', NULL, 1) (Line: 88)
__TwigTemplate_a7d6005c89ae729617b9a0c2bccb1776->doDisplay(Array, Array) (Line: 405)
Twig\Template->displayWithErrorHandling(Array, Array) (Line: 378)
Twig\Template->display(Array, Array) (Line: 46)
__TwigTemplate_804f7948456cfe20e11a34c43439c7c2->doDisplay(Array, Array) (Line: 405)
Twig\Template->displayWithErrorHandling(Array, Array) (Line: 378)
Twig\Template->display(Array, Array) (Line: 43)
__TwigTemplate_bd990293b89f3b78c69fe0ee2f7828b5->doDisplay(Array, Array) (Line: 405)
Twig\Template->displayWithErrorHandling(Array, Array) (Line: 378)
Twig\Template->display(Array) (Line: 390)
Twig\Template->render(Array) (Line: 55)
twig_render_template('themes/contrib/classy/templates/field/field--text-with-summary.html.twig', Array) (Line: 384)
Drupal\Core\Theme\ThemeManager->render('field', Array) (Line: 433)
Drupal\Core\Render\Renderer->doRender(Array) (Line: 446)
Drupal\Core\Render\Renderer->doRender(Array, ) (Line: 204)
Drupal\Core\Render\Renderer->render(Array) (Line: 479)
Drupal\Core\Template\TwigExtension->escapeFilter(Object, Array, 'html', NULL, 1) (Line: 74)
__TwigTemplate_94047fbdba6937b76a4479dfa1763452->doDisplay(Array, Array) (Line: 405)
Twig\Template->displayWithErrorHandling(Array, Array) (Line: 378)
Twig\Template->display(Array) (Line: 390)
Twig\Template->render(Array) (Line: 55)
twig_render_template('themes/custom/yg_aesthetic/templates/node.html.twig', Array) (Line: 384)
Drupal\Core\Theme\ThemeManager->render('node', Array) (Line: 433)
Drupal\Core\Render\Renderer->doRender(Array, ) (Line: 204)
Drupal\Core\Render\Renderer->render(Array, ) (Line: 242)
Drupal\Core\Render\MainContent\HtmlRenderer->Drupal\Core\Render\MainContent\{closure}() (Line: 580)
Drupal\Core\Render\Renderer->executeInRenderContext(Object, Object) (Line: 235)
Drupal\Core\Render\MainContent\HtmlRenderer->prepare(Array, Object, Object) (Line: 132)
Drupal\Core\Render\MainContent\HtmlRenderer->renderResponse(Array, Object, Object) (Line: 90)
Drupal\Core\EventSubscriber\MainContentViewSubscriber->onViewRenderArray(Object, 'kernel.view', Object)
call_user_func(Array, Object, 'kernel.view', Object) (Line: 142)
Drupal\Component\EventDispatcher\ContainerAwareEventDispatcher->dispatch(Object, 'kernel.view') (Line: 174)
Symfony\Component\HttpKernel\HttpKernel->handleRaw(Object, 1) (Line: 81)
Symfony\Component\HttpKernel\HttpKernel->handle(Object, 1, 1) (Line: 58)
Drupal\Core\StackMiddleware\Session->handle(Object, 1, 1) (Line: 48)
Drupal\Core\StackMiddleware\KernelPreHandle->handle(Object, 1, 1) (Line: 191)
Drupal\page_cache\StackMiddleware\PageCache->fetch(Object, 1, 1) (Line: 128)
Drupal\page_cache\StackMiddleware\PageCache->lookup(Object, 1, 1) (Line: 82)
Drupal\page_cache\StackMiddleware\PageCache->handle(Object, 1, 1) (Line: 48)
Drupal\Core\StackMiddleware\ReverseProxyMiddleware->handle(Object, 1, 1) (Line: 51)
Drupal\Core\StackMiddleware\NegotiationMiddleware->handle(Object, 1, 1) (Line: 23)
Stack\StackedHttpKernel->handle(Object, 1, 1) (Line: 713)
Drupal\Core\DrupalKernel->handle(Object) (Line: 19)
- Deprecated function: Creation of dynamic property Drupal\mysql\Driver\Database\mysql\Select::$alterTags is deprecated in Drupal\Core\Database\Query\Select->addTag() (line 149 of core/lib/Drupal/Core/Database/Query/Select.php).
Drupal\Core\Database\Query\Select->addTag('entity_query') (Line: 147)
Drupal\Core\Entity\Query\Sql\Query->prepare() (Line: 80)
Drupal\Core\Entity\Query\Sql\Query->execute() (Line: 640)
Drupal\Core\Entity\EntityStorageBase->loadByProperties(Array) (Line: 63)
Drupal\Core\Entity\EntityRepository->loadEntityByUuid('file', 'insert-max_800_px-c814baa1-3aa7-41d6-bab8-edf020be8bec') (Line: 95)
Drupal\editor\Plugin\Filter\EditorFileReference->process('También debemos reconsiderar la <em>función de error</em> o <em>función de coste</em> que vamos a utilizar en nuestro clasificador. Hasta ahora -para hacer más sencilla la interpretación de las explicaciones- hemos dado por supuesto que estábamos trabajando en un entorno de análisis de regresión considerando alguna variación de la siguiente función de coste:
<a class="colorbox insert-colorbox" data-colorbox-gallery="gallery-node" data-insert-class="" data-insert-type="image" href="/sites/default/files/2020-11/tutdl_0141.jpg"></a>
En este escenario la predicción para una muestra i (ŷi) es un número, el valor objetivo o etiqueta (yi) es otro número, por lo que su diferencia elevada al cuadrado es otro número y el resultado del sumatorio también es un número.
En un escenario de clasificación resulta necesario retocar adecuadamente esta función, pues ahora tanto la predicción como el valor objetivo no son valores escalares, sino vectores. <a href="/manual/tutorial-de-deep-learning/variable-objetivo">Ya vimos</a>, por ejemplo, que si estamos trabajando con las imágenes de MNIST y la variable objetivo toma el valor 3 (de 10 clases posibles), esto supone que necesitamos alimentar nuestra red con un vector de 10 números que tomen el valor 0 menos el correspondiente a la clase "3", que deberá tomar el valor 1:
<a class="colorbox insert-colorbox" data-colorbox-gallery="gallery-node" data-insert-class="" data-insert-type="image" href="/sites/default/files/2020-10/tutdl_0113.jpg"></a>
Y con la predicción ocurre exactamente lo mismo: el resultado devuelto por la red neuronal será un vector formado por 10 números indicando cada uno de ellos la "confianza" que la red tiene de que el valor representado en la imagen sea el correspondiente a cada clase.
Esto significa que, para el cálculo del error de una muestra, debemos enfrentar no dos números -como ocurría en el caso del análisis de regresión-, sino dos vectores.
Una solución para obtener este error es restar ambos vectores y obtener el módulo del resultado:
<a class="colorbox insert-colorbox" data-colorbox-gallery="gallery-node" data-insert-class="" data-insert-type="image" href="/sites/default/files/2020-11/tutdl_0142.jpg"></a>
En la imagen anterior partimos de la variable objetivo correspondiente al número 3 (yi), nos inventamos una supuesta predicción (ŷi) y obtenemos la diferencia de ambos vectores (yi-ŷi). En la parte inferior se muestra el módulo de este último vector: 0.58189, obtenido como la raíz cuadrada de la suma de los cuadrados de los componentes del vector.
Este enfoque nos lleva a retocar la función de coste correspondiente a una muestra dejándola expresada de la siguiente manera:
<a class="colorbox insert-colorbox" data-colorbox-gallery="gallery-node" data-insert-class="" data-insert-type="image" href="/sites/default/files/2020-11/tutdl_0143.jpg"></a>
(donde ||x̄|| representa el módulo del vector x̄)
...y definiendo, por lo tanto, la función de coste global con la siguiente expresión (o alguna variación de ésta):
<a class="colorbox insert-colorbox" data-colorbox-gallery="gallery-node" data-insert-class="" data-insert-type="image" href="/sites/default/files/2020-11/tutdl_0144.jpg"></a>
', 'es') (Line: 118)
Drupal\filter\Element\ProcessedText::preRenderText(Array)
call_user_func_array(Array, Array) (Line: 101)
Drupal\Core\Render\Renderer->doTrustedCallback(Array, Array, 'Render #pre_render callbacks must be methods of a class that implements \Drupal\Core\Security\TrustedCallbackInterface or be an anonymous function. The callback was %s. See https://www.drupal.org/node/2966725', 'exception', 'Drupal\Core\Render\Element\RenderCallbackInterface') (Line: 788)
Drupal\Core\Render\Renderer->doCallback('#pre_render', Array, Array) (Line: 374)
Drupal\Core\Render\Renderer->doRender(Array, ) (Line: 204)
Drupal\Core\Render\Renderer->render(Array) (Line: 479)
Drupal\Core\Template\TwigExtension->escapeFilter(Object, Array, 'html', NULL, 1) (Line: 88)
__TwigTemplate_a7d6005c89ae729617b9a0c2bccb1776->doDisplay(Array, Array) (Line: 405)
Twig\Template->displayWithErrorHandling(Array, Array) (Line: 378)
Twig\Template->display(Array, Array) (Line: 46)
__TwigTemplate_804f7948456cfe20e11a34c43439c7c2->doDisplay(Array, Array) (Line: 405)
Twig\Template->displayWithErrorHandling(Array, Array) (Line: 378)
Twig\Template->display(Array, Array) (Line: 43)
__TwigTemplate_bd990293b89f3b78c69fe0ee2f7828b5->doDisplay(Array, Array) (Line: 405)
Twig\Template->displayWithErrorHandling(Array, Array) (Line: 378)
Twig\Template->display(Array) (Line: 390)
Twig\Template->render(Array) (Line: 55)
twig_render_template('themes/contrib/classy/templates/field/field--text-with-summary.html.twig', Array) (Line: 384)
Drupal\Core\Theme\ThemeManager->render('field', Array) (Line: 433)
Drupal\Core\Render\Renderer->doRender(Array) (Line: 446)
Drupal\Core\Render\Renderer->doRender(Array, ) (Line: 204)
Drupal\Core\Render\Renderer->render(Array) (Line: 479)
Drupal\Core\Template\TwigExtension->escapeFilter(Object, Array, 'html', NULL, 1) (Line: 74)
__TwigTemplate_94047fbdba6937b76a4479dfa1763452->doDisplay(Array, Array) (Line: 405)
Twig\Template->displayWithErrorHandling(Array, Array) (Line: 378)
Twig\Template->display(Array) (Line: 390)
Twig\Template->render(Array) (Line: 55)
twig_render_template('themes/custom/yg_aesthetic/templates/node.html.twig', Array) (Line: 384)
Drupal\Core\Theme\ThemeManager->render('node', Array) (Line: 433)
Drupal\Core\Render\Renderer->doRender(Array, ) (Line: 204)
Drupal\Core\Render\Renderer->render(Array, ) (Line: 242)
Drupal\Core\Render\MainContent\HtmlRenderer->Drupal\Core\Render\MainContent\{closure}() (Line: 580)
Drupal\Core\Render\Renderer->executeInRenderContext(Object, Object) (Line: 235)
Drupal\Core\Render\MainContent\HtmlRenderer->prepare(Array, Object, Object) (Line: 132)
Drupal\Core\Render\MainContent\HtmlRenderer->renderResponse(Array, Object, Object) (Line: 90)
Drupal\Core\EventSubscriber\MainContentViewSubscriber->onViewRenderArray(Object, 'kernel.view', Object)
call_user_func(Array, Object, 'kernel.view', Object) (Line: 142)
Drupal\Component\EventDispatcher\ContainerAwareEventDispatcher->dispatch(Object, 'kernel.view') (Line: 174)
Symfony\Component\HttpKernel\HttpKernel->handleRaw(Object, 1) (Line: 81)
Symfony\Component\HttpKernel\HttpKernel->handle(Object, 1, 1) (Line: 58)
Drupal\Core\StackMiddleware\Session->handle(Object, 1, 1) (Line: 48)
Drupal\Core\StackMiddleware\KernelPreHandle->handle(Object, 1, 1) (Line: 191)
Drupal\page_cache\StackMiddleware\PageCache->fetch(Object, 1, 1) (Line: 128)
Drupal\page_cache\StackMiddleware\PageCache->lookup(Object, 1, 1) (Line: 82)
Drupal\page_cache\StackMiddleware\PageCache->handle(Object, 1, 1) (Line: 48)
Drupal\Core\StackMiddleware\ReverseProxyMiddleware->handle(Object, 1, 1) (Line: 51)
Drupal\Core\StackMiddleware\NegotiationMiddleware->handle(Object, 1, 1) (Line: 23)
Stack\StackedHttpKernel->handle(Object, 1, 1) (Line: 713)
Drupal\Core\DrupalKernel->handle(Object) (Line: 19)
- Deprecated function: Creation of dynamic property Drupal\mysql\Driver\Database\mysql\Select::$alterMetaData is deprecated in Drupal\Core\Database\Query\Select->addMetaData() (line 178 of core/lib/Drupal/Core/Database/Query/Select.php).
Drupal\Core\Database\Query\Select->addMetaData('entity_type', 'file') (Line: 115)
Drupal\Core\Entity\Query\Sql\Query->prepare() (Line: 80)
Drupal\Core\Entity\Query\Sql\Query->execute() (Line: 640)
Drupal\Core\Entity\EntityStorageBase->loadByProperties(Array) (Line: 63)
Drupal\Core\Entity\EntityRepository->loadEntityByUuid('file', 'insert-max_800_px-c814baa1-3aa7-41d6-bab8-edf020be8bec') (Line: 124)
Drupal\editor\Plugin\Filter\EditorFileReference->process('También debemos reconsiderar la <em>función de error</em> o <em>función de coste</em> que vamos a utilizar en nuestro clasificador. Hasta ahora -para hacer más sencilla la interpretación de las explicaciones- hemos dado por supuesto que estábamos trabajando en un entorno de análisis de regresión considerando alguna variación de la siguiente función de coste:
<a class="colorbox insert-colorbox" data-colorbox-gallery="gallery-node" data-insert-class="" data-insert-type="image" href="/sites/default/files/2020-11/tutdl_0141.jpg"></a>
En este escenario la predicción para una muestra i (ŷi) es un número, el valor objetivo o etiqueta (yi) es otro número, por lo que su diferencia elevada al cuadrado es otro número y el resultado del sumatorio también es un número.
En un escenario de clasificación resulta necesario retocar adecuadamente esta función, pues ahora tanto la predicción como el valor objetivo no son valores escalares, sino vectores. <a href="/manual/tutorial-de-deep-learning/variable-objetivo">Ya vimos</a>, por ejemplo, que si estamos trabajando con las imágenes de MNIST y la variable objetivo toma el valor 3 (de 10 clases posibles), esto supone que necesitamos alimentar nuestra red con un vector de 10 números que tomen el valor 0 menos el correspondiente a la clase "3", que deberá tomar el valor 1:
<a class="colorbox insert-colorbox" data-colorbox-gallery="gallery-node" data-insert-class="" data-insert-type="image" href="/sites/default/files/2020-10/tutdl_0113.jpg"></a>
Y con la predicción ocurre exactamente lo mismo: el resultado devuelto por la red neuronal será un vector formado por 10 números indicando cada uno de ellos la "confianza" que la red tiene de que el valor representado en la imagen sea el correspondiente a cada clase.
Esto significa que, para el cálculo del error de una muestra, debemos enfrentar no dos números -como ocurría en el caso del análisis de regresión-, sino dos vectores.
Una solución para obtener este error es restar ambos vectores y obtener el módulo del resultado:
<a class="colorbox insert-colorbox" data-colorbox-gallery="gallery-node" data-insert-class="" data-insert-type="image" href="/sites/default/files/2020-11/tutdl_0142.jpg"></a>
En la imagen anterior partimos de la variable objetivo correspondiente al número 3 (yi), nos inventamos una supuesta predicción (ŷi) y obtenemos la diferencia de ambos vectores (yi-ŷi). En la parte inferior se muestra el módulo de este último vector: 0.58189, obtenido como la raíz cuadrada de la suma de los cuadrados de los componentes del vector.
Este enfoque nos lleva a retocar la función de coste correspondiente a una muestra dejándola expresada de la siguiente manera:
<a class="colorbox insert-colorbox" data-colorbox-gallery="gallery-node" data-insert-class="" data-insert-type="image" href="/sites/default/files/2020-11/tutdl_0143.jpg"></a>
(donde ||x̄|| representa el módulo del vector x̄)
...y definiendo, por lo tanto, la función de coste global con la siguiente expresión (o alguna variación de ésta):
<a class="colorbox insert-colorbox" data-colorbox-gallery="gallery-node" data-insert-class="" data-insert-type="image" href="/sites/default/files/2020-11/tutdl_0144.jpg"></a>
', 'es') (Line: 118)
Drupal\filter\Element\ProcessedText::preRenderText(Array)
call_user_func_array(Array, Array) (Line: 101)
Drupal\Core\Render\Renderer->doTrustedCallback(Array, Array, 'Render #pre_render callbacks must be methods of a class that implements \Drupal\Core\Security\TrustedCallbackInterface or be an anonymous function. The callback was %s. See https://www.drupal.org/node/2966725', 'exception', 'Drupal\Core\Render\Element\RenderCallbackInterface') (Line: 788)
Drupal\Core\Render\Renderer->doCallback('#pre_render', Array, Array) (Line: 374)
Drupal\Core\Render\Renderer->doRender(Array, ) (Line: 204)
Drupal\Core\Render\Renderer->render(Array) (Line: 479)
Drupal\Core\Template\TwigExtension->escapeFilter(Object, Array, 'html', NULL, 1) (Line: 88)
__TwigTemplate_a7d6005c89ae729617b9a0c2bccb1776->doDisplay(Array, Array) (Line: 405)
Twig\Template->displayWithErrorHandling(Array, Array) (Line: 378)
Twig\Template->display(Array, Array) (Line: 46)
__TwigTemplate_804f7948456cfe20e11a34c43439c7c2->doDisplay(Array, Array) (Line: 405)
Twig\Template->displayWithErrorHandling(Array, Array) (Line: 378)
Twig\Template->display(Array, Array) (Line: 43)
__TwigTemplate_bd990293b89f3b78c69fe0ee2f7828b5->doDisplay(Array, Array) (Line: 405)
Twig\Template->displayWithErrorHandling(Array, Array) (Line: 378)
Twig\Template->display(Array) (Line: 390)
Twig\Template->render(Array) (Line: 55)
twig_render_template('themes/contrib/classy/templates/field/field--text-with-summary.html.twig', Array) (Line: 384)
Drupal\Core\Theme\ThemeManager->render('field', Array) (Line: 433)
Drupal\Core\Render\Renderer->doRender(Array) (Line: 446)
Drupal\Core\Render\Renderer->doRender(Array, ) (Line: 204)
Drupal\Core\Render\Renderer->render(Array) (Line: 479)
Drupal\Core\Template\TwigExtension->escapeFilter(Object, Array, 'html', NULL, 1) (Line: 74)
__TwigTemplate_94047fbdba6937b76a4479dfa1763452->doDisplay(Array, Array) (Line: 405)
Twig\Template->displayWithErrorHandling(Array, Array) (Line: 378)
Twig\Template->display(Array) (Line: 390)
Twig\Template->render(Array) (Line: 55)
twig_render_template('themes/custom/yg_aesthetic/templates/node.html.twig', Array) (Line: 384)
Drupal\Core\Theme\ThemeManager->render('node', Array) (Line: 433)
Drupal\Core\Render\Renderer->doRender(Array, ) (Line: 204)
Drupal\Core\Render\Renderer->render(Array, ) (Line: 242)
Drupal\Core\Render\MainContent\HtmlRenderer->Drupal\Core\Render\MainContent\{closure}() (Line: 580)
Drupal\Core\Render\Renderer->executeInRenderContext(Object, Object) (Line: 235)
Drupal\Core\Render\MainContent\HtmlRenderer->prepare(Array, Object, Object) (Line: 132)
Drupal\Core\Render\MainContent\HtmlRenderer->renderResponse(Array, Object, Object) (Line: 90)
Drupal\Core\EventSubscriber\MainContentViewSubscriber->onViewRenderArray(Object, 'kernel.view', Object)
call_user_func(Array, Object, 'kernel.view', Object) (Line: 142)
Drupal\Component\EventDispatcher\ContainerAwareEventDispatcher->dispatch(Object, 'kernel.view') (Line: 174)
Symfony\Component\HttpKernel\HttpKernel->handleRaw(Object, 1) (Line: 81)
Symfony\Component\HttpKernel\HttpKernel->handle(Object, 1, 1) (Line: 58)
Drupal\Core\StackMiddleware\Session->handle(Object, 1, 1) (Line: 48)
Drupal\Core\StackMiddleware\KernelPreHandle->handle(Object, 1, 1) (Line: 191)
Drupal\page_cache\StackMiddleware\PageCache->fetch(Object, 1, 1) (Line: 128)
Drupal\page_cache\StackMiddleware\PageCache->lookup(Object, 1, 1) (Line: 82)
Drupal\page_cache\StackMiddleware\PageCache->handle(Object, 1, 1) (Line: 48)
Drupal\Core\StackMiddleware\ReverseProxyMiddleware->handle(Object, 1, 1) (Line: 51)
Drupal\Core\StackMiddleware\NegotiationMiddleware->handle(Object, 1, 1) (Line: 23)
Stack\StackedHttpKernel->handle(Object, 1, 1) (Line: 713)
Drupal\Core\DrupalKernel->handle(Object) (Line: 19)
- Deprecated function: Creation of dynamic property Drupal\mysql\Driver\Database\mysql\Select::$alterTags is deprecated in Drupal\Core\Database\Query\Select->addTag() (line 149 of core/lib/Drupal/Core/Database/Query/Select.php).
Drupal\Core\Database\Query\Select->addTag('entity_query') (Line: 147)
Drupal\Core\Entity\Query\Sql\Query->prepare() (Line: 80)
Drupal\Core\Entity\Query\Sql\Query->execute() (Line: 640)
Drupal\Core\Entity\EntityStorageBase->loadByProperties(Array) (Line: 63)
Drupal\Core\Entity\EntityRepository->loadEntityByUuid('file', 'insert-max_800_px-c814baa1-3aa7-41d6-bab8-edf020be8bec') (Line: 124)
Drupal\editor\Plugin\Filter\EditorFileReference->process('También debemos reconsiderar la <em>función de error</em> o <em>función de coste</em> que vamos a utilizar en nuestro clasificador. Hasta ahora -para hacer más sencilla la interpretación de las explicaciones- hemos dado por supuesto que estábamos trabajando en un entorno de análisis de regresión considerando alguna variación de la siguiente función de coste:
<a class="colorbox insert-colorbox" data-colorbox-gallery="gallery-node" data-insert-class="" data-insert-type="image" href="/sites/default/files/2020-11/tutdl_0141.jpg"></a>
En este escenario la predicción para una muestra i (ŷi) es un número, el valor objetivo o etiqueta (yi) es otro número, por lo que su diferencia elevada al cuadrado es otro número y el resultado del sumatorio también es un número.
En un escenario de clasificación resulta necesario retocar adecuadamente esta función, pues ahora tanto la predicción como el valor objetivo no son valores escalares, sino vectores. <a href="/manual/tutorial-de-deep-learning/variable-objetivo">Ya vimos</a>, por ejemplo, que si estamos trabajando con las imágenes de MNIST y la variable objetivo toma el valor 3 (de 10 clases posibles), esto supone que necesitamos alimentar nuestra red con un vector de 10 números que tomen el valor 0 menos el correspondiente a la clase "3", que deberá tomar el valor 1:
<a class="colorbox insert-colorbox" data-colorbox-gallery="gallery-node" data-insert-class="" data-insert-type="image" href="/sites/default/files/2020-10/tutdl_0113.jpg"></a>
Y con la predicción ocurre exactamente lo mismo: el resultado devuelto por la red neuronal será un vector formado por 10 números indicando cada uno de ellos la "confianza" que la red tiene de que el valor representado en la imagen sea el correspondiente a cada clase.
Esto significa que, para el cálculo del error de una muestra, debemos enfrentar no dos números -como ocurría en el caso del análisis de regresión-, sino dos vectores.
Una solución para obtener este error es restar ambos vectores y obtener el módulo del resultado:
<a class="colorbox insert-colorbox" data-colorbox-gallery="gallery-node" data-insert-class="" data-insert-type="image" href="/sites/default/files/2020-11/tutdl_0142.jpg"></a>
En la imagen anterior partimos de la variable objetivo correspondiente al número 3 (yi), nos inventamos una supuesta predicción (ŷi) y obtenemos la diferencia de ambos vectores (yi-ŷi). En la parte inferior se muestra el módulo de este último vector: 0.58189, obtenido como la raíz cuadrada de la suma de los cuadrados de los componentes del vector.
Este enfoque nos lleva a retocar la función de coste correspondiente a una muestra dejándola expresada de la siguiente manera:
<a class="colorbox insert-colorbox" data-colorbox-gallery="gallery-node" data-insert-class="" data-insert-type="image" href="/sites/default/files/2020-11/tutdl_0143.jpg"></a>
(donde ||x̄|| representa el módulo del vector x̄)
...y definiendo, por lo tanto, la función de coste global con la siguiente expresión (o alguna variación de ésta):
<a class="colorbox insert-colorbox" data-colorbox-gallery="gallery-node" data-insert-class="" data-insert-type="image" href="/sites/default/files/2020-11/tutdl_0144.jpg"></a>
', 'es') (Line: 118)
Drupal\filter\Element\ProcessedText::preRenderText(Array)
call_user_func_array(Array, Array) (Line: 101)
Drupal\Core\Render\Renderer->doTrustedCallback(Array, Array, 'Render #pre_render callbacks must be methods of a class that implements \Drupal\Core\Security\TrustedCallbackInterface or be an anonymous function. The callback was %s. See https://www.drupal.org/node/2966725', 'exception', 'Drupal\Core\Render\Element\RenderCallbackInterface') (Line: 788)
Drupal\Core\Render\Renderer->doCallback('#pre_render', Array, Array) (Line: 374)
Drupal\Core\Render\Renderer->doRender(Array, ) (Line: 204)
Drupal\Core\Render\Renderer->render(Array) (Line: 479)
Drupal\Core\Template\TwigExtension->escapeFilter(Object, Array, 'html', NULL, 1) (Line: 88)
__TwigTemplate_a7d6005c89ae729617b9a0c2bccb1776->doDisplay(Array, Array) (Line: 405)
Twig\Template->displayWithErrorHandling(Array, Array) (Line: 378)
Twig\Template->display(Array, Array) (Line: 46)
__TwigTemplate_804f7948456cfe20e11a34c43439c7c2->doDisplay(Array, Array) (Line: 405)
Twig\Template->displayWithErrorHandling(Array, Array) (Line: 378)
Twig\Template->display(Array, Array) (Line: 43)
__TwigTemplate_bd990293b89f3b78c69fe0ee2f7828b5->doDisplay(Array, Array) (Line: 405)
Twig\Template->displayWithErrorHandling(Array, Array) (Line: 378)
Twig\Template->display(Array) (Line: 390)
Twig\Template->render(Array) (Line: 55)
twig_render_template('themes/contrib/classy/templates/field/field--text-with-summary.html.twig', Array) (Line: 384)
Drupal\Core\Theme\ThemeManager->render('field', Array) (Line: 433)
Drupal\Core\Render\Renderer->doRender(Array) (Line: 446)
Drupal\Core\Render\Renderer->doRender(Array, ) (Line: 204)
Drupal\Core\Render\Renderer->render(Array) (Line: 479)
Drupal\Core\Template\TwigExtension->escapeFilter(Object, Array, 'html', NULL, 1) (Line: 74)
__TwigTemplate_94047fbdba6937b76a4479dfa1763452->doDisplay(Array, Array) (Line: 405)
Twig\Template->displayWithErrorHandling(Array, Array) (Line: 378)
Twig\Template->display(Array) (Line: 390)
Twig\Template->render(Array) (Line: 55)
twig_render_template('themes/custom/yg_aesthetic/templates/node.html.twig', Array) (Line: 384)
Drupal\Core\Theme\ThemeManager->render('node', Array) (Line: 433)
Drupal\Core\Render\Renderer->doRender(Array, ) (Line: 204)
Drupal\Core\Render\Renderer->render(Array, ) (Line: 242)
Drupal\Core\Render\MainContent\HtmlRenderer->Drupal\Core\Render\MainContent\{closure}() (Line: 580)
Drupal\Core\Render\Renderer->executeInRenderContext(Object, Object) (Line: 235)
Drupal\Core\Render\MainContent\HtmlRenderer->prepare(Array, Object, Object) (Line: 132)
Drupal\Core\Render\MainContent\HtmlRenderer->renderResponse(Array, Object, Object) (Line: 90)
Drupal\Core\EventSubscriber\MainContentViewSubscriber->onViewRenderArray(Object, 'kernel.view', Object)
call_user_func(Array, Object, 'kernel.view', Object) (Line: 142)
Drupal\Component\EventDispatcher\ContainerAwareEventDispatcher->dispatch(Object, 'kernel.view') (Line: 174)
Symfony\Component\HttpKernel\HttpKernel->handleRaw(Object, 1) (Line: 81)
Symfony\Component\HttpKernel\HttpKernel->handle(Object, 1, 1) (Line: 58)
Drupal\Core\StackMiddleware\Session->handle(Object, 1, 1) (Line: 48)
Drupal\Core\StackMiddleware\KernelPreHandle->handle(Object, 1, 1) (Line: 191)
Drupal\page_cache\StackMiddleware\PageCache->fetch(Object, 1, 1) (Line: 128)
Drupal\page_cache\StackMiddleware\PageCache->lookup(Object, 1, 1) (Line: 82)
Drupal\page_cache\StackMiddleware\PageCache->handle(Object, 1, 1) (Line: 48)
Drupal\Core\StackMiddleware\ReverseProxyMiddleware->handle(Object, 1, 1) (Line: 51)
Drupal\Core\StackMiddleware\NegotiationMiddleware->handle(Object, 1, 1) (Line: 23)
Stack\StackedHttpKernel->handle(Object, 1, 1) (Line: 713)
Drupal\Core\DrupalKernel->handle(Object) (Line: 19)
- Deprecated function: Creation of dynamic property Drupal\mysql\Driver\Database\mysql\Select::$alterMetaData is deprecated in Drupal\Core\Database\Query\Select->addMetaData() (line 178 of core/lib/Drupal/Core/Database/Query/Select.php).
Drupal\Core\Database\Query\Select->addMetaData('entity_type', 'file') (Line: 115)
Drupal\Core\Entity\Query\Sql\Query->prepare() (Line: 80)
Drupal\Core\Entity\Query\Sql\Query->execute() (Line: 640)
Drupal\Core\Entity\EntityStorageBase->loadByProperties(Array) (Line: 63)
Drupal\Core\Entity\EntityRepository->loadEntityByUuid('file', 'insert-max_800_px-ef7f7585-9410-4e1c-aad5-e59ac95f1375') (Line: 95)
Drupal\editor\Plugin\Filter\EditorFileReference->process('También debemos reconsiderar la <em>función de error</em> o <em>función de coste</em> que vamos a utilizar en nuestro clasificador. Hasta ahora -para hacer más sencilla la interpretación de las explicaciones- hemos dado por supuesto que estábamos trabajando en un entorno de análisis de regresión considerando alguna variación de la siguiente función de coste:
<a class="colorbox insert-colorbox" data-colorbox-gallery="gallery-node" data-insert-class="" data-insert-type="image" href="/sites/default/files/2020-11/tutdl_0141.jpg"></a>
En este escenario la predicción para una muestra i (ŷi) es un número, el valor objetivo o etiqueta (yi) es otro número, por lo que su diferencia elevada al cuadrado es otro número y el resultado del sumatorio también es un número.
En un escenario de clasificación resulta necesario retocar adecuadamente esta función, pues ahora tanto la predicción como el valor objetivo no son valores escalares, sino vectores. <a href="/manual/tutorial-de-deep-learning/variable-objetivo">Ya vimos</a>, por ejemplo, que si estamos trabajando con las imágenes de MNIST y la variable objetivo toma el valor 3 (de 10 clases posibles), esto supone que necesitamos alimentar nuestra red con un vector de 10 números que tomen el valor 0 menos el correspondiente a la clase "3", que deberá tomar el valor 1:
<a class="colorbox insert-colorbox" data-colorbox-gallery="gallery-node" data-insert-class="" data-insert-type="image" href="/sites/default/files/2020-10/tutdl_0113.jpg"></a>
Y con la predicción ocurre exactamente lo mismo: el resultado devuelto por la red neuronal será un vector formado por 10 números indicando cada uno de ellos la "confianza" que la red tiene de que el valor representado en la imagen sea el correspondiente a cada clase.
Esto significa que, para el cálculo del error de una muestra, debemos enfrentar no dos números -como ocurría en el caso del análisis de regresión-, sino dos vectores.
Una solución para obtener este error es restar ambos vectores y obtener el módulo del resultado:
<a class="colorbox insert-colorbox" data-colorbox-gallery="gallery-node" data-insert-class="" data-insert-type="image" href="/sites/default/files/2020-11/tutdl_0142.jpg"></a>
En la imagen anterior partimos de la variable objetivo correspondiente al número 3 (yi), nos inventamos una supuesta predicción (ŷi) y obtenemos la diferencia de ambos vectores (yi-ŷi). En la parte inferior se muestra el módulo de este último vector: 0.58189, obtenido como la raíz cuadrada de la suma de los cuadrados de los componentes del vector.
Este enfoque nos lleva a retocar la función de coste correspondiente a una muestra dejándola expresada de la siguiente manera:
<a class="colorbox insert-colorbox" data-colorbox-gallery="gallery-node" data-insert-class="" data-insert-type="image" href="/sites/default/files/2020-11/tutdl_0143.jpg"></a>
(donde ||x̄|| representa el módulo del vector x̄)
...y definiendo, por lo tanto, la función de coste global con la siguiente expresión (o alguna variación de ésta):
<a class="colorbox insert-colorbox" data-colorbox-gallery="gallery-node" data-insert-class="" data-insert-type="image" href="/sites/default/files/2020-11/tutdl_0144.jpg"></a>
', 'es') (Line: 118)
Drupal\filter\Element\ProcessedText::preRenderText(Array)
call_user_func_array(Array, Array) (Line: 101)
Drupal\Core\Render\Renderer->doTrustedCallback(Array, Array, 'Render #pre_render callbacks must be methods of a class that implements \Drupal\Core\Security\TrustedCallbackInterface or be an anonymous function. The callback was %s. See https://www.drupal.org/node/2966725', 'exception', 'Drupal\Core\Render\Element\RenderCallbackInterface') (Line: 788)
Drupal\Core\Render\Renderer->doCallback('#pre_render', Array, Array) (Line: 374)
Drupal\Core\Render\Renderer->doRender(Array, ) (Line: 204)
Drupal\Core\Render\Renderer->render(Array) (Line: 479)
Drupal\Core\Template\TwigExtension->escapeFilter(Object, Array, 'html', NULL, 1) (Line: 88)
__TwigTemplate_a7d6005c89ae729617b9a0c2bccb1776->doDisplay(Array, Array) (Line: 405)
Twig\Template->displayWithErrorHandling(Array, Array) (Line: 378)
Twig\Template->display(Array, Array) (Line: 46)
__TwigTemplate_804f7948456cfe20e11a34c43439c7c2->doDisplay(Array, Array) (Line: 405)
Twig\Template->displayWithErrorHandling(Array, Array) (Line: 378)
Twig\Template->display(Array, Array) (Line: 43)
__TwigTemplate_bd990293b89f3b78c69fe0ee2f7828b5->doDisplay(Array, Array) (Line: 405)
Twig\Template->displayWithErrorHandling(Array, Array) (Line: 378)
Twig\Template->display(Array) (Line: 390)
Twig\Template->render(Array) (Line: 55)
twig_render_template('themes/contrib/classy/templates/field/field--text-with-summary.html.twig', Array) (Line: 384)
Drupal\Core\Theme\ThemeManager->render('field', Array) (Line: 433)
Drupal\Core\Render\Renderer->doRender(Array) (Line: 446)
Drupal\Core\Render\Renderer->doRender(Array, ) (Line: 204)
Drupal\Core\Render\Renderer->render(Array) (Line: 479)
Drupal\Core\Template\TwigExtension->escapeFilter(Object, Array, 'html', NULL, 1) (Line: 74)
__TwigTemplate_94047fbdba6937b76a4479dfa1763452->doDisplay(Array, Array) (Line: 405)
Twig\Template->displayWithErrorHandling(Array, Array) (Line: 378)
Twig\Template->display(Array) (Line: 390)
Twig\Template->render(Array) (Line: 55)
twig_render_template('themes/custom/yg_aesthetic/templates/node.html.twig', Array) (Line: 384)
Drupal\Core\Theme\ThemeManager->render('node', Array) (Line: 433)
Drupal\Core\Render\Renderer->doRender(Array, ) (Line: 204)
Drupal\Core\Render\Renderer->render(Array, ) (Line: 242)
Drupal\Core\Render\MainContent\HtmlRenderer->Drupal\Core\Render\MainContent\{closure}() (Line: 580)
Drupal\Core\Render\Renderer->executeInRenderContext(Object, Object) (Line: 235)
Drupal\Core\Render\MainContent\HtmlRenderer->prepare(Array, Object, Object) (Line: 132)
Drupal\Core\Render\MainContent\HtmlRenderer->renderResponse(Array, Object, Object) (Line: 90)
Drupal\Core\EventSubscriber\MainContentViewSubscriber->onViewRenderArray(Object, 'kernel.view', Object)
call_user_func(Array, Object, 'kernel.view', Object) (Line: 142)
Drupal\Component\EventDispatcher\ContainerAwareEventDispatcher->dispatch(Object, 'kernel.view') (Line: 174)
Symfony\Component\HttpKernel\HttpKernel->handleRaw(Object, 1) (Line: 81)
Symfony\Component\HttpKernel\HttpKernel->handle(Object, 1, 1) (Line: 58)
Drupal\Core\StackMiddleware\Session->handle(Object, 1, 1) (Line: 48)
Drupal\Core\StackMiddleware\KernelPreHandle->handle(Object, 1, 1) (Line: 191)
Drupal\page_cache\StackMiddleware\PageCache->fetch(Object, 1, 1) (Line: 128)
Drupal\page_cache\StackMiddleware\PageCache->lookup(Object, 1, 1) (Line: 82)
Drupal\page_cache\StackMiddleware\PageCache->handle(Object, 1, 1) (Line: 48)
Drupal\Core\StackMiddleware\ReverseProxyMiddleware->handle(Object, 1, 1) (Line: 51)
Drupal\Core\StackMiddleware\NegotiationMiddleware->handle(Object, 1, 1) (Line: 23)
Stack\StackedHttpKernel->handle(Object, 1, 1) (Line: 713)
Drupal\Core\DrupalKernel->handle(Object) (Line: 19)
- Deprecated function: Creation of dynamic property Drupal\mysql\Driver\Database\mysql\Select::$alterTags is deprecated in Drupal\Core\Database\Query\Select->addTag() (line 149 of core/lib/Drupal/Core/Database/Query/Select.php).
Drupal\Core\Database\Query\Select->addTag('entity_query') (Line: 147)
Drupal\Core\Entity\Query\Sql\Query->prepare() (Line: 80)
Drupal\Core\Entity\Query\Sql\Query->execute() (Line: 640)
Drupal\Core\Entity\EntityStorageBase->loadByProperties(Array) (Line: 63)
Drupal\Core\Entity\EntityRepository->loadEntityByUuid('file', 'insert-max_800_px-ef7f7585-9410-4e1c-aad5-e59ac95f1375') (Line: 95)
Drupal\editor\Plugin\Filter\EditorFileReference->process('También debemos reconsiderar la <em>función de error</em> o <em>función de coste</em> que vamos a utilizar en nuestro clasificador. Hasta ahora -para hacer más sencilla la interpretación de las explicaciones- hemos dado por supuesto que estábamos trabajando en un entorno de análisis de regresión considerando alguna variación de la siguiente función de coste:
<a class="colorbox insert-colorbox" data-colorbox-gallery="gallery-node" data-insert-class="" data-insert-type="image" href="/sites/default/files/2020-11/tutdl_0141.jpg"></a>
En este escenario la predicción para una muestra i (ŷi) es un número, el valor objetivo o etiqueta (yi) es otro número, por lo que su diferencia elevada al cuadrado es otro número y el resultado del sumatorio también es un número.
En un escenario de clasificación resulta necesario retocar adecuadamente esta función, pues ahora tanto la predicción como el valor objetivo no son valores escalares, sino vectores. <a href="/manual/tutorial-de-deep-learning/variable-objetivo">Ya vimos</a>, por ejemplo, que si estamos trabajando con las imágenes de MNIST y la variable objetivo toma el valor 3 (de 10 clases posibles), esto supone que necesitamos alimentar nuestra red con un vector de 10 números que tomen el valor 0 menos el correspondiente a la clase "3", que deberá tomar el valor 1:
<a class="colorbox insert-colorbox" data-colorbox-gallery="gallery-node" data-insert-class="" data-insert-type="image" href="/sites/default/files/2020-10/tutdl_0113.jpg"></a>
Y con la predicción ocurre exactamente lo mismo: el resultado devuelto por la red neuronal será un vector formado por 10 números indicando cada uno de ellos la "confianza" que la red tiene de que el valor representado en la imagen sea el correspondiente a cada clase.
Esto significa que, para el cálculo del error de una muestra, debemos enfrentar no dos números -como ocurría en el caso del análisis de regresión-, sino dos vectores.
Una solución para obtener este error es restar ambos vectores y obtener el módulo del resultado:
<a class="colorbox insert-colorbox" data-colorbox-gallery="gallery-node" data-insert-class="" data-insert-type="image" href="/sites/default/files/2020-11/tutdl_0142.jpg"></a>
En la imagen anterior partimos de la variable objetivo correspondiente al número 3 (yi), nos inventamos una supuesta predicción (ŷi) y obtenemos la diferencia de ambos vectores (yi-ŷi). En la parte inferior se muestra el módulo de este último vector: 0.58189, obtenido como la raíz cuadrada de la suma de los cuadrados de los componentes del vector.
Este enfoque nos lleva a retocar la función de coste correspondiente a una muestra dejándola expresada de la siguiente manera:
<a class="colorbox insert-colorbox" data-colorbox-gallery="gallery-node" data-insert-class="" data-insert-type="image" href="/sites/default/files/2020-11/tutdl_0143.jpg"></a>
(donde ||x̄|| representa el módulo del vector x̄)
...y definiendo, por lo tanto, la función de coste global con la siguiente expresión (o alguna variación de ésta):
<a class="colorbox insert-colorbox" data-colorbox-gallery="gallery-node" data-insert-class="" data-insert-type="image" href="/sites/default/files/2020-11/tutdl_0144.jpg"></a>
', 'es') (Line: 118)
Drupal\filter\Element\ProcessedText::preRenderText(Array)
call_user_func_array(Array, Array) (Line: 101)
Drupal\Core\Render\Renderer->doTrustedCallback(Array, Array, 'Render #pre_render callbacks must be methods of a class that implements \Drupal\Core\Security\TrustedCallbackInterface or be an anonymous function. The callback was %s. See https://www.drupal.org/node/2966725', 'exception', 'Drupal\Core\Render\Element\RenderCallbackInterface') (Line: 788)
Drupal\Core\Render\Renderer->doCallback('#pre_render', Array, Array) (Line: 374)
Drupal\Core\Render\Renderer->doRender(Array, ) (Line: 204)
Drupal\Core\Render\Renderer->render(Array) (Line: 479)
Drupal\Core\Template\TwigExtension->escapeFilter(Object, Array, 'html', NULL, 1) (Line: 88)
__TwigTemplate_a7d6005c89ae729617b9a0c2bccb1776->doDisplay(Array, Array) (Line: 405)
Twig\Template->displayWithErrorHandling(Array, Array) (Line: 378)
Twig\Template->display(Array, Array) (Line: 46)
__TwigTemplate_804f7948456cfe20e11a34c43439c7c2->doDisplay(Array, Array) (Line: 405)
Twig\Template->displayWithErrorHandling(Array, Array) (Line: 378)
Twig\Template->display(Array, Array) (Line: 43)
__TwigTemplate_bd990293b89f3b78c69fe0ee2f7828b5->doDisplay(Array, Array) (Line: 405)
Twig\Template->displayWithErrorHandling(Array, Array) (Line: 378)
Twig\Template->display(Array) (Line: 390)
Twig\Template->render(Array) (Line: 55)
twig_render_template('themes/contrib/classy/templates/field/field--text-with-summary.html.twig', Array) (Line: 384)
Drupal\Core\Theme\ThemeManager->render('field', Array) (Line: 433)
Drupal\Core\Render\Renderer->doRender(Array) (Line: 446)
Drupal\Core\Render\Renderer->doRender(Array, ) (Line: 204)
Drupal\Core\Render\Renderer->render(Array) (Line: 479)
Drupal\Core\Template\TwigExtension->escapeFilter(Object, Array, 'html', NULL, 1) (Line: 74)
__TwigTemplate_94047fbdba6937b76a4479dfa1763452->doDisplay(Array, Array) (Line: 405)
Twig\Template->displayWithErrorHandling(Array, Array) (Line: 378)
Twig\Template->display(Array) (Line: 390)
Twig\Template->render(Array) (Line: 55)
twig_render_template('themes/custom/yg_aesthetic/templates/node.html.twig', Array) (Line: 384)
Drupal\Core\Theme\ThemeManager->render('node', Array) (Line: 433)
Drupal\Core\Render\Renderer->doRender(Array, ) (Line: 204)
Drupal\Core\Render\Renderer->render(Array, ) (Line: 242)
Drupal\Core\Render\MainContent\HtmlRenderer->Drupal\Core\Render\MainContent\{closure}() (Line: 580)
Drupal\Core\Render\Renderer->executeInRenderContext(Object, Object) (Line: 235)
Drupal\Core\Render\MainContent\HtmlRenderer->prepare(Array, Object, Object) (Line: 132)
Drupal\Core\Render\MainContent\HtmlRenderer->renderResponse(Array, Object, Object) (Line: 90)
Drupal\Core\EventSubscriber\MainContentViewSubscriber->onViewRenderArray(Object, 'kernel.view', Object)
call_user_func(Array, Object, 'kernel.view', Object) (Line: 142)
Drupal\Component\EventDispatcher\ContainerAwareEventDispatcher->dispatch(Object, 'kernel.view') (Line: 174)
Symfony\Component\HttpKernel\HttpKernel->handleRaw(Object, 1) (Line: 81)
Symfony\Component\HttpKernel\HttpKernel->handle(Object, 1, 1) (Line: 58)
Drupal\Core\StackMiddleware\Session->handle(Object, 1, 1) (Line: 48)
Drupal\Core\StackMiddleware\KernelPreHandle->handle(Object, 1, 1) (Line: 191)
Drupal\page_cache\StackMiddleware\PageCache->fetch(Object, 1, 1) (Line: 128)
Drupal\page_cache\StackMiddleware\PageCache->lookup(Object, 1, 1) (Line: 82)
Drupal\page_cache\StackMiddleware\PageCache->handle(Object, 1, 1) (Line: 48)
Drupal\Core\StackMiddleware\ReverseProxyMiddleware->handle(Object, 1, 1) (Line: 51)
Drupal\Core\StackMiddleware\NegotiationMiddleware->handle(Object, 1, 1) (Line: 23)
Stack\StackedHttpKernel->handle(Object, 1, 1) (Line: 713)
Drupal\Core\DrupalKernel->handle(Object) (Line: 19)
- Deprecated function: Creation of dynamic property Drupal\mysql\Driver\Database\mysql\Select::$alterMetaData is deprecated in Drupal\Core\Database\Query\Select->addMetaData() (line 178 of core/lib/Drupal/Core/Database/Query/Select.php).
Drupal\Core\Database\Query\Select->addMetaData('entity_type', 'file') (Line: 115)
Drupal\Core\Entity\Query\Sql\Query->prepare() (Line: 80)
Drupal\Core\Entity\Query\Sql\Query->execute() (Line: 640)
Drupal\Core\Entity\EntityStorageBase->loadByProperties(Array) (Line: 63)
Drupal\Core\Entity\EntityRepository->loadEntityByUuid('file', 'insert-max_800_px-ef7f7585-9410-4e1c-aad5-e59ac95f1375') (Line: 124)
Drupal\editor\Plugin\Filter\EditorFileReference->process('También debemos reconsiderar la <em>función de error</em> o <em>función de coste</em> que vamos a utilizar en nuestro clasificador. Hasta ahora -para hacer más sencilla la interpretación de las explicaciones- hemos dado por supuesto que estábamos trabajando en un entorno de análisis de regresión considerando alguna variación de la siguiente función de coste:
<a class="colorbox insert-colorbox" data-colorbox-gallery="gallery-node" data-insert-class="" data-insert-type="image" href="/sites/default/files/2020-11/tutdl_0141.jpg"></a>
En este escenario la predicción para una muestra i (ŷi) es un número, el valor objetivo o etiqueta (yi) es otro número, por lo que su diferencia elevada al cuadrado es otro número y el resultado del sumatorio también es un número.
En un escenario de clasificación resulta necesario retocar adecuadamente esta función, pues ahora tanto la predicción como el valor objetivo no son valores escalares, sino vectores. <a href="/manual/tutorial-de-deep-learning/variable-objetivo">Ya vimos</a>, por ejemplo, que si estamos trabajando con las imágenes de MNIST y la variable objetivo toma el valor 3 (de 10 clases posibles), esto supone que necesitamos alimentar nuestra red con un vector de 10 números que tomen el valor 0 menos el correspondiente a la clase "3", que deberá tomar el valor 1:
<a class="colorbox insert-colorbox" data-colorbox-gallery="gallery-node" data-insert-class="" data-insert-type="image" href="/sites/default/files/2020-10/tutdl_0113.jpg"></a>
Y con la predicción ocurre exactamente lo mismo: el resultado devuelto por la red neuronal será un vector formado por 10 números indicando cada uno de ellos la "confianza" que la red tiene de que el valor representado en la imagen sea el correspondiente a cada clase.
Esto significa que, para el cálculo del error de una muestra, debemos enfrentar no dos números -como ocurría en el caso del análisis de regresión-, sino dos vectores.
Una solución para obtener este error es restar ambos vectores y obtener el módulo del resultado:
<a class="colorbox insert-colorbox" data-colorbox-gallery="gallery-node" data-insert-class="" data-insert-type="image" href="/sites/default/files/2020-11/tutdl_0142.jpg"></a>
En la imagen anterior partimos de la variable objetivo correspondiente al número 3 (yi), nos inventamos una supuesta predicción (ŷi) y obtenemos la diferencia de ambos vectores (yi-ŷi). En la parte inferior se muestra el módulo de este último vector: 0.58189, obtenido como la raíz cuadrada de la suma de los cuadrados de los componentes del vector.
Este enfoque nos lleva a retocar la función de coste correspondiente a una muestra dejándola expresada de la siguiente manera:
<a class="colorbox insert-colorbox" data-colorbox-gallery="gallery-node" data-insert-class="" data-insert-type="image" href="/sites/default/files/2020-11/tutdl_0143.jpg"></a>
(donde ||x̄|| representa el módulo del vector x̄)
...y definiendo, por lo tanto, la función de coste global con la siguiente expresión (o alguna variación de ésta):
<a class="colorbox insert-colorbox" data-colorbox-gallery="gallery-node" data-insert-class="" data-insert-type="image" href="/sites/default/files/2020-11/tutdl_0144.jpg"></a>
', 'es') (Line: 118)
Drupal\filter\Element\ProcessedText::preRenderText(Array)
call_user_func_array(Array, Array) (Line: 101)
Drupal\Core\Render\Renderer->doTrustedCallback(Array, Array, 'Render #pre_render callbacks must be methods of a class that implements \Drupal\Core\Security\TrustedCallbackInterface or be an anonymous function. The callback was %s. See https://www.drupal.org/node/2966725', 'exception', 'Drupal\Core\Render\Element\RenderCallbackInterface') (Line: 788)
Drupal\Core\Render\Renderer->doCallback('#pre_render', Array, Array) (Line: 374)
Drupal\Core\Render\Renderer->doRender(Array, ) (Line: 204)
Drupal\Core\Render\Renderer->render(Array) (Line: 479)
Drupal\Core\Template\TwigExtension->escapeFilter(Object, Array, 'html', NULL, 1) (Line: 88)
__TwigTemplate_a7d6005c89ae729617b9a0c2bccb1776->doDisplay(Array, Array) (Line: 405)
Twig\Template->displayWithErrorHandling(Array, Array) (Line: 378)
Twig\Template->display(Array, Array) (Line: 46)
__TwigTemplate_804f7948456cfe20e11a34c43439c7c2->doDisplay(Array, Array) (Line: 405)
Twig\Template->displayWithErrorHandling(Array, Array) (Line: 378)
Twig\Template->display(Array, Array) (Line: 43)
__TwigTemplate_bd990293b89f3b78c69fe0ee2f7828b5->doDisplay(Array, Array) (Line: 405)
Twig\Template->displayWithErrorHandling(Array, Array) (Line: 378)
Twig\Template->display(Array) (Line: 390)
Twig\Template->render(Array) (Line: 55)
twig_render_template('themes/contrib/classy/templates/field/field--text-with-summary.html.twig', Array) (Line: 384)
Drupal\Core\Theme\ThemeManager->render('field', Array) (Line: 433)
Drupal\Core\Render\Renderer->doRender(Array) (Line: 446)
Drupal\Core\Render\Renderer->doRender(Array, ) (Line: 204)
Drupal\Core\Render\Renderer->render(Array) (Line: 479)
Drupal\Core\Template\TwigExtension->escapeFilter(Object, Array, 'html', NULL, 1) (Line: 74)
__TwigTemplate_94047fbdba6937b76a4479dfa1763452->doDisplay(Array, Array) (Line: 405)
Twig\Template->displayWithErrorHandling(Array, Array) (Line: 378)
Twig\Template->display(Array) (Line: 390)
Twig\Template->render(Array) (Line: 55)
twig_render_template('themes/custom/yg_aesthetic/templates/node.html.twig', Array) (Line: 384)
Drupal\Core\Theme\ThemeManager->render('node', Array) (Line: 433)
Drupal\Core\Render\Renderer->doRender(Array, ) (Line: 204)
Drupal\Core\Render\Renderer->render(Array, ) (Line: 242)
Drupal\Core\Render\MainContent\HtmlRenderer->Drupal\Core\Render\MainContent\{closure}() (Line: 580)
Drupal\Core\Render\Renderer->executeInRenderContext(Object, Object) (Line: 235)
Drupal\Core\Render\MainContent\HtmlRenderer->prepare(Array, Object, Object) (Line: 132)
Drupal\Core\Render\MainContent\HtmlRenderer->renderResponse(Array, Object, Object) (Line: 90)
Drupal\Core\EventSubscriber\MainContentViewSubscriber->onViewRenderArray(Object, 'kernel.view', Object)
call_user_func(Array, Object, 'kernel.view', Object) (Line: 142)
Drupal\Component\EventDispatcher\ContainerAwareEventDispatcher->dispatch(Object, 'kernel.view') (Line: 174)
Symfony\Component\HttpKernel\HttpKernel->handleRaw(Object, 1) (Line: 81)
Symfony\Component\HttpKernel\HttpKernel->handle(Object, 1, 1) (Line: 58)
Drupal\Core\StackMiddleware\Session->handle(Object, 1, 1) (Line: 48)
Drupal\Core\StackMiddleware\KernelPreHandle->handle(Object, 1, 1) (Line: 191)
Drupal\page_cache\StackMiddleware\PageCache->fetch(Object, 1, 1) (Line: 128)
Drupal\page_cache\StackMiddleware\PageCache->lookup(Object, 1, 1) (Line: 82)
Drupal\page_cache\StackMiddleware\PageCache->handle(Object, 1, 1) (Line: 48)
Drupal\Core\StackMiddleware\ReverseProxyMiddleware->handle(Object, 1, 1) (Line: 51)
Drupal\Core\StackMiddleware\NegotiationMiddleware->handle(Object, 1, 1) (Line: 23)
Stack\StackedHttpKernel->handle(Object, 1, 1) (Line: 713)
Drupal\Core\DrupalKernel->handle(Object) (Line: 19)
- Deprecated function: Creation of dynamic property Drupal\mysql\Driver\Database\mysql\Select::$alterTags is deprecated in Drupal\Core\Database\Query\Select->addTag() (line 149 of core/lib/Drupal/Core/Database/Query/Select.php).
Drupal\Core\Database\Query\Select->addTag('entity_query') (Line: 147)
Drupal\Core\Entity\Query\Sql\Query->prepare() (Line: 80)
Drupal\Core\Entity\Query\Sql\Query->execute() (Line: 640)
Drupal\Core\Entity\EntityStorageBase->loadByProperties(Array) (Line: 63)
Drupal\Core\Entity\EntityRepository->loadEntityByUuid('file', 'insert-max_800_px-ef7f7585-9410-4e1c-aad5-e59ac95f1375') (Line: 124)
Drupal\editor\Plugin\Filter\EditorFileReference->process('También debemos reconsiderar la <em>función de error</em> o <em>función de coste</em> que vamos a utilizar en nuestro clasificador. Hasta ahora -para hacer más sencilla la interpretación de las explicaciones- hemos dado por supuesto que estábamos trabajando en un entorno de análisis de regresión considerando alguna variación de la siguiente función de coste:
<a class="colorbox insert-colorbox" data-colorbox-gallery="gallery-node" data-insert-class="" data-insert-type="image" href="/sites/default/files/2020-11/tutdl_0141.jpg"></a>
En este escenario la predicción para una muestra i (ŷi) es un número, el valor objetivo o etiqueta (yi) es otro número, por lo que su diferencia elevada al cuadrado es otro número y el resultado del sumatorio también es un número.
En un escenario de clasificación resulta necesario retocar adecuadamente esta función, pues ahora tanto la predicción como el valor objetivo no son valores escalares, sino vectores. <a href="/manual/tutorial-de-deep-learning/variable-objetivo">Ya vimos</a>, por ejemplo, que si estamos trabajando con las imágenes de MNIST y la variable objetivo toma el valor 3 (de 10 clases posibles), esto supone que necesitamos alimentar nuestra red con un vector de 10 números que tomen el valor 0 menos el correspondiente a la clase "3", que deberá tomar el valor 1:
<a class="colorbox insert-colorbox" data-colorbox-gallery="gallery-node" data-insert-class="" data-insert-type="image" href="/sites/default/files/2020-10/tutdl_0113.jpg"></a>
Y con la predicción ocurre exactamente lo mismo: el resultado devuelto por la red neuronal será un vector formado por 10 números indicando cada uno de ellos la "confianza" que la red tiene de que el valor representado en la imagen sea el correspondiente a cada clase.
Esto significa que, para el cálculo del error de una muestra, debemos enfrentar no dos números -como ocurría en el caso del análisis de regresión-, sino dos vectores.
Una solución para obtener este error es restar ambos vectores y obtener el módulo del resultado:
<a class="colorbox insert-colorbox" data-colorbox-gallery="gallery-node" data-insert-class="" data-insert-type="image" href="/sites/default/files/2020-11/tutdl_0142.jpg"></a>
En la imagen anterior partimos de la variable objetivo correspondiente al número 3 (yi), nos inventamos una supuesta predicción (ŷi) y obtenemos la diferencia de ambos vectores (yi-ŷi). En la parte inferior se muestra el módulo de este último vector: 0.58189, obtenido como la raíz cuadrada de la suma de los cuadrados de los componentes del vector.
Este enfoque nos lleva a retocar la función de coste correspondiente a una muestra dejándola expresada de la siguiente manera:
<a class="colorbox insert-colorbox" data-colorbox-gallery="gallery-node" data-insert-class="" data-insert-type="image" href="/sites/default/files/2020-11/tutdl_0143.jpg"></a>
(donde ||x̄|| representa el módulo del vector x̄)
...y definiendo, por lo tanto, la función de coste global con la siguiente expresión (o alguna variación de ésta):
<a class="colorbox insert-colorbox" data-colorbox-gallery="gallery-node" data-insert-class="" data-insert-type="image" href="/sites/default/files/2020-11/tutdl_0144.jpg"></a>
', 'es') (Line: 118)
Drupal\filter\Element\ProcessedText::preRenderText(Array)
call_user_func_array(Array, Array) (Line: 101)
Drupal\Core\Render\Renderer->doTrustedCallback(Array, Array, 'Render #pre_render callbacks must be methods of a class that implements \Drupal\Core\Security\TrustedCallbackInterface or be an anonymous function. The callback was %s. See https://www.drupal.org/node/2966725', 'exception', 'Drupal\Core\Render\Element\RenderCallbackInterface') (Line: 788)
Drupal\Core\Render\Renderer->doCallback('#pre_render', Array, Array) (Line: 374)
Drupal\Core\Render\Renderer->doRender(Array, ) (Line: 204)
Drupal\Core\Render\Renderer->render(Array) (Line: 479)
Drupal\Core\Template\TwigExtension->escapeFilter(Object, Array, 'html', NULL, 1) (Line: 88)
__TwigTemplate_a7d6005c89ae729617b9a0c2bccb1776->doDisplay(Array, Array) (Line: 405)
Twig\Template->displayWithErrorHandling(Array, Array) (Line: 378)
Twig\Template->display(Array, Array) (Line: 46)
__TwigTemplate_804f7948456cfe20e11a34c43439c7c2->doDisplay(Array, Array) (Line: 405)
Twig\Template->displayWithErrorHandling(Array, Array) (Line: 378)
Twig\Template->display(Array, Array) (Line: 43)
__TwigTemplate_bd990293b89f3b78c69fe0ee2f7828b5->doDisplay(Array, Array) (Line: 405)
Twig\Template->displayWithErrorHandling(Array, Array) (Line: 378)
Twig\Template->display(Array) (Line: 390)
Twig\Template->render(Array) (Line: 55)
twig_render_template('themes/contrib/classy/templates/field/field--text-with-summary.html.twig', Array) (Line: 384)
Drupal\Core\Theme\ThemeManager->render('field', Array) (Line: 433)
Drupal\Core\Render\Renderer->doRender(Array) (Line: 446)
Drupal\Core\Render\Renderer->doRender(Array, ) (Line: 204)
Drupal\Core\Render\Renderer->render(Array) (Line: 479)
Drupal\Core\Template\TwigExtension->escapeFilter(Object, Array, 'html', NULL, 1) (Line: 74)
__TwigTemplate_94047fbdba6937b76a4479dfa1763452->doDisplay(Array, Array) (Line: 405)
Twig\Template->displayWithErrorHandling(Array, Array) (Line: 378)
Twig\Template->display(Array) (Line: 390)
Twig\Template->render(Array) (Line: 55)
twig_render_template('themes/custom/yg_aesthetic/templates/node.html.twig', Array) (Line: 384)
Drupal\Core\Theme\ThemeManager->render('node', Array) (Line: 433)
Drupal\Core\Render\Renderer->doRender(Array, ) (Line: 204)
Drupal\Core\Render\Renderer->render(Array, ) (Line: 242)
Drupal\Core\Render\MainContent\HtmlRenderer->Drupal\Core\Render\MainContent\{closure}() (Line: 580)
Drupal\Core\Render\Renderer->executeInRenderContext(Object, Object) (Line: 235)
Drupal\Core\Render\MainContent\HtmlRenderer->prepare(Array, Object, Object) (Line: 132)
Drupal\Core\Render\MainContent\HtmlRenderer->renderResponse(Array, Object, Object) (Line: 90)
Drupal\Core\EventSubscriber\MainContentViewSubscriber->onViewRenderArray(Object, 'kernel.view', Object)
call_user_func(Array, Object, 'kernel.view', Object) (Line: 142)
Drupal\Component\EventDispatcher\ContainerAwareEventDispatcher->dispatch(Object, 'kernel.view') (Line: 174)
Symfony\Component\HttpKernel\HttpKernel->handleRaw(Object, 1) (Line: 81)
Symfony\Component\HttpKernel\HttpKernel->handle(Object, 1, 1) (Line: 58)
Drupal\Core\StackMiddleware\Session->handle(Object, 1, 1) (Line: 48)
Drupal\Core\StackMiddleware\KernelPreHandle->handle(Object, 1, 1) (Line: 191)
Drupal\page_cache\StackMiddleware\PageCache->fetch(Object, 1, 1) (Line: 128)
Drupal\page_cache\StackMiddleware\PageCache->lookup(Object, 1, 1) (Line: 82)
Drupal\page_cache\StackMiddleware\PageCache->handle(Object, 1, 1) (Line: 48)
Drupal\Core\StackMiddleware\ReverseProxyMiddleware->handle(Object, 1, 1) (Line: 51)
Drupal\Core\StackMiddleware\NegotiationMiddleware->handle(Object, 1, 1) (Line: 23)
Stack\StackedHttpKernel->handle(Object, 1, 1) (Line: 713)
Drupal\Core\DrupalKernel->handle(Object) (Line: 19)
- Deprecated function: Creation of dynamic property Drupal\mysql\Driver\Database\mysql\Select::$alterMetaData is deprecated in Drupal\Core\Database\Query\Select->addMetaData() (line 178 of core/lib/Drupal/Core/Database/Query/Select.php).
Drupal\Core\Database\Query\Select->addMetaData('entity_type', 'file') (Line: 115)
Drupal\Core\Entity\Query\Sql\Query->prepare() (Line: 80)
Drupal\Core\Entity\Query\Sql\Query->execute() (Line: 640)
Drupal\Core\Entity\EntityStorageBase->loadByProperties(Array) (Line: 63)
Drupal\Core\Entity\EntityRepository->loadEntityByUuid('file', 'insert-max_800_px-b2ba0be2-34f7-4e7e-a383-fe051803a9c2') (Line: 95)
Drupal\editor\Plugin\Filter\EditorFileReference->process('También debemos reconsiderar la <em>función de error</em> o <em>función de coste</em> que vamos a utilizar en nuestro clasificador. Hasta ahora -para hacer más sencilla la interpretación de las explicaciones- hemos dado por supuesto que estábamos trabajando en un entorno de análisis de regresión considerando alguna variación de la siguiente función de coste:
<a class="colorbox insert-colorbox" data-colorbox-gallery="gallery-node" data-insert-class="" data-insert-type="image" href="/sites/default/files/2020-11/tutdl_0141.jpg"></a>
En este escenario la predicción para una muestra i (ŷi) es un número, el valor objetivo o etiqueta (yi) es otro número, por lo que su diferencia elevada al cuadrado es otro número y el resultado del sumatorio también es un número.
En un escenario de clasificación resulta necesario retocar adecuadamente esta función, pues ahora tanto la predicción como el valor objetivo no son valores escalares, sino vectores. <a href="/manual/tutorial-de-deep-learning/variable-objetivo">Ya vimos</a>, por ejemplo, que si estamos trabajando con las imágenes de MNIST y la variable objetivo toma el valor 3 (de 10 clases posibles), esto supone que necesitamos alimentar nuestra red con un vector de 10 números que tomen el valor 0 menos el correspondiente a la clase "3", que deberá tomar el valor 1:
<a class="colorbox insert-colorbox" data-colorbox-gallery="gallery-node" data-insert-class="" data-insert-type="image" href="/sites/default/files/2020-10/tutdl_0113.jpg"></a>
Y con la predicción ocurre exactamente lo mismo: el resultado devuelto por la red neuronal será un vector formado por 10 números indicando cada uno de ellos la "confianza" que la red tiene de que el valor representado en la imagen sea el correspondiente a cada clase.
Esto significa que, para el cálculo del error de una muestra, debemos enfrentar no dos números -como ocurría en el caso del análisis de regresión-, sino dos vectores.
Una solución para obtener este error es restar ambos vectores y obtener el módulo del resultado:
<a class="colorbox insert-colorbox" data-colorbox-gallery="gallery-node" data-insert-class="" data-insert-type="image" href="/sites/default/files/2020-11/tutdl_0142.jpg"></a>
En la imagen anterior partimos de la variable objetivo correspondiente al número 3 (yi), nos inventamos una supuesta predicción (ŷi) y obtenemos la diferencia de ambos vectores (yi-ŷi). En la parte inferior se muestra el módulo de este último vector: 0.58189, obtenido como la raíz cuadrada de la suma de los cuadrados de los componentes del vector.
Este enfoque nos lleva a retocar la función de coste correspondiente a una muestra dejándola expresada de la siguiente manera:
<a class="colorbox insert-colorbox" data-colorbox-gallery="gallery-node" data-insert-class="" data-insert-type="image" href="/sites/default/files/2020-11/tutdl_0143.jpg"></a>
(donde ||x̄|| representa el módulo del vector x̄)
...y definiendo, por lo tanto, la función de coste global con la siguiente expresión (o alguna variación de ésta):
<a class="colorbox insert-colorbox" data-colorbox-gallery="gallery-node" data-insert-class="" data-insert-type="image" href="/sites/default/files/2020-11/tutdl_0144.jpg"></a>
', 'es') (Line: 118)
Drupal\filter\Element\ProcessedText::preRenderText(Array)
call_user_func_array(Array, Array) (Line: 101)
Drupal\Core\Render\Renderer->doTrustedCallback(Array, Array, 'Render #pre_render callbacks must be methods of a class that implements \Drupal\Core\Security\TrustedCallbackInterface or be an anonymous function. The callback was %s. See https://www.drupal.org/node/2966725', 'exception', 'Drupal\Core\Render\Element\RenderCallbackInterface') (Line: 788)
Drupal\Core\Render\Renderer->doCallback('#pre_render', Array, Array) (Line: 374)
Drupal\Core\Render\Renderer->doRender(Array, ) (Line: 204)
Drupal\Core\Render\Renderer->render(Array) (Line: 479)
Drupal\Core\Template\TwigExtension->escapeFilter(Object, Array, 'html', NULL, 1) (Line: 88)
__TwigTemplate_a7d6005c89ae729617b9a0c2bccb1776->doDisplay(Array, Array) (Line: 405)
Twig\Template->displayWithErrorHandling(Array, Array) (Line: 378)
Twig\Template->display(Array, Array) (Line: 46)
__TwigTemplate_804f7948456cfe20e11a34c43439c7c2->doDisplay(Array, Array) (Line: 405)
Twig\Template->displayWithErrorHandling(Array, Array) (Line: 378)
Twig\Template->display(Array, Array) (Line: 43)
__TwigTemplate_bd990293b89f3b78c69fe0ee2f7828b5->doDisplay(Array, Array) (Line: 405)
Twig\Template->displayWithErrorHandling(Array, Array) (Line: 378)
Twig\Template->display(Array) (Line: 390)
Twig\Template->render(Array) (Line: 55)
twig_render_template('themes/contrib/classy/templates/field/field--text-with-summary.html.twig', Array) (Line: 384)
Drupal\Core\Theme\ThemeManager->render('field', Array) (Line: 433)
Drupal\Core\Render\Renderer->doRender(Array) (Line: 446)
Drupal\Core\Render\Renderer->doRender(Array, ) (Line: 204)
Drupal\Core\Render\Renderer->render(Array) (Line: 479)
Drupal\Core\Template\TwigExtension->escapeFilter(Object, Array, 'html', NULL, 1) (Line: 74)
__TwigTemplate_94047fbdba6937b76a4479dfa1763452->doDisplay(Array, Array) (Line: 405)
Twig\Template->displayWithErrorHandling(Array, Array) (Line: 378)
Twig\Template->display(Array) (Line: 390)
Twig\Template->render(Array) (Line: 55)
twig_render_template('themes/custom/yg_aesthetic/templates/node.html.twig', Array) (Line: 384)
Drupal\Core\Theme\ThemeManager->render('node', Array) (Line: 433)
Drupal\Core\Render\Renderer->doRender(Array, ) (Line: 204)
Drupal\Core\Render\Renderer->render(Array, ) (Line: 242)
Drupal\Core\Render\MainContent\HtmlRenderer->Drupal\Core\Render\MainContent\{closure}() (Line: 580)
Drupal\Core\Render\Renderer->executeInRenderContext(Object, Object) (Line: 235)
Drupal\Core\Render\MainContent\HtmlRenderer->prepare(Array, Object, Object) (Line: 132)
Drupal\Core\Render\MainContent\HtmlRenderer->renderResponse(Array, Object, Object) (Line: 90)
Drupal\Core\EventSubscriber\MainContentViewSubscriber->onViewRenderArray(Object, 'kernel.view', Object)
call_user_func(Array, Object, 'kernel.view', Object) (Line: 142)
Drupal\Component\EventDispatcher\ContainerAwareEventDispatcher->dispatch(Object, 'kernel.view') (Line: 174)
Symfony\Component\HttpKernel\HttpKernel->handleRaw(Object, 1) (Line: 81)
Symfony\Component\HttpKernel\HttpKernel->handle(Object, 1, 1) (Line: 58)
Drupal\Core\StackMiddleware\Session->handle(Object, 1, 1) (Line: 48)
Drupal\Core\StackMiddleware\KernelPreHandle->handle(Object, 1, 1) (Line: 191)
Drupal\page_cache\StackMiddleware\PageCache->fetch(Object, 1, 1) (Line: 128)
Drupal\page_cache\StackMiddleware\PageCache->lookup(Object, 1, 1) (Line: 82)
Drupal\page_cache\StackMiddleware\PageCache->handle(Object, 1, 1) (Line: 48)
Drupal\Core\StackMiddleware\ReverseProxyMiddleware->handle(Object, 1, 1) (Line: 51)
Drupal\Core\StackMiddleware\NegotiationMiddleware->handle(Object, 1, 1) (Line: 23)
Stack\StackedHttpKernel->handle(Object, 1, 1) (Line: 713)
Drupal\Core\DrupalKernel->handle(Object) (Line: 19)
- Deprecated function: Creation of dynamic property Drupal\mysql\Driver\Database\mysql\Select::$alterTags is deprecated in Drupal\Core\Database\Query\Select->addTag() (line 149 of core/lib/Drupal/Core/Database/Query/Select.php).
Drupal\Core\Database\Query\Select->addTag('entity_query') (Line: 147)
Drupal\Core\Entity\Query\Sql\Query->prepare() (Line: 80)
Drupal\Core\Entity\Query\Sql\Query->execute() (Line: 640)
Drupal\Core\Entity\EntityStorageBase->loadByProperties(Array) (Line: 63)
Drupal\Core\Entity\EntityRepository->loadEntityByUuid('file', 'insert-max_800_px-b2ba0be2-34f7-4e7e-a383-fe051803a9c2') (Line: 95)
Drupal\editor\Plugin\Filter\EditorFileReference->process('También debemos reconsiderar la <em>función de error</em> o <em>función de coste</em> que vamos a utilizar en nuestro clasificador. Hasta ahora -para hacer más sencilla la interpretación de las explicaciones- hemos dado por supuesto que estábamos trabajando en un entorno de análisis de regresión considerando alguna variación de la siguiente función de coste:
<a class="colorbox insert-colorbox" data-colorbox-gallery="gallery-node" data-insert-class="" data-insert-type="image" href="/sites/default/files/2020-11/tutdl_0141.jpg"></a>
En este escenario la predicción para una muestra i (ŷi) es un número, el valor objetivo o etiqueta (yi) es otro número, por lo que su diferencia elevada al cuadrado es otro número y el resultado del sumatorio también es un número.
En un escenario de clasificación resulta necesario retocar adecuadamente esta función, pues ahora tanto la predicción como el valor objetivo no son valores escalares, sino vectores. <a href="/manual/tutorial-de-deep-learning/variable-objetivo">Ya vimos</a>, por ejemplo, que si estamos trabajando con las imágenes de MNIST y la variable objetivo toma el valor 3 (de 10 clases posibles), esto supone que necesitamos alimentar nuestra red con un vector de 10 números que tomen el valor 0 menos el correspondiente a la clase "3", que deberá tomar el valor 1:
<a class="colorbox insert-colorbox" data-colorbox-gallery="gallery-node" data-insert-class="" data-insert-type="image" href="/sites/default/files/2020-10/tutdl_0113.jpg"></a>
Y con la predicción ocurre exactamente lo mismo: el resultado devuelto por la red neuronal será un vector formado por 10 números indicando cada uno de ellos la "confianza" que la red tiene de que el valor representado en la imagen sea el correspondiente a cada clase.
Esto significa que, para el cálculo del error de una muestra, debemos enfrentar no dos números -como ocurría en el caso del análisis de regresión-, sino dos vectores.
Una solución para obtener este error es restar ambos vectores y obtener el módulo del resultado:
<a class="colorbox insert-colorbox" data-colorbox-gallery="gallery-node" data-insert-class="" data-insert-type="image" href="/sites/default/files/2020-11/tutdl_0142.jpg"></a>
En la imagen anterior partimos de la variable objetivo correspondiente al número 3 (yi), nos inventamos una supuesta predicción (ŷi) y obtenemos la diferencia de ambos vectores (yi-ŷi). En la parte inferior se muestra el módulo de este último vector: 0.58189, obtenido como la raíz cuadrada de la suma de los cuadrados de los componentes del vector.
Este enfoque nos lleva a retocar la función de coste correspondiente a una muestra dejándola expresada de la siguiente manera:
<a class="colorbox insert-colorbox" data-colorbox-gallery="gallery-node" data-insert-class="" data-insert-type="image" href="/sites/default/files/2020-11/tutdl_0143.jpg"></a>
(donde ||x̄|| representa el módulo del vector x̄)
...y definiendo, por lo tanto, la función de coste global con la siguiente expresión (o alguna variación de ésta):
<a class="colorbox insert-colorbox" data-colorbox-gallery="gallery-node" data-insert-class="" data-insert-type="image" href="/sites/default/files/2020-11/tutdl_0144.jpg"></a>
', 'es') (Line: 118)
Drupal\filter\Element\ProcessedText::preRenderText(Array)
call_user_func_array(Array, Array) (Line: 101)
Drupal\Core\Render\Renderer->doTrustedCallback(Array, Array, 'Render #pre_render callbacks must be methods of a class that implements \Drupal\Core\Security\TrustedCallbackInterface or be an anonymous function. The callback was %s. See https://www.drupal.org/node/2966725', 'exception', 'Drupal\Core\Render\Element\RenderCallbackInterface') (Line: 788)
Drupal\Core\Render\Renderer->doCallback('#pre_render', Array, Array) (Line: 374)
Drupal\Core\Render\Renderer->doRender(Array, ) (Line: 204)
Drupal\Core\Render\Renderer->render(Array) (Line: 479)
Drupal\Core\Template\TwigExtension->escapeFilter(Object, Array, 'html', NULL, 1) (Line: 88)
__TwigTemplate_a7d6005c89ae729617b9a0c2bccb1776->doDisplay(Array, Array) (Line: 405)
Twig\Template->displayWithErrorHandling(Array, Array) (Line: 378)
Twig\Template->display(Array, Array) (Line: 46)
__TwigTemplate_804f7948456cfe20e11a34c43439c7c2->doDisplay(Array, Array) (Line: 405)
Twig\Template->displayWithErrorHandling(Array, Array) (Line: 378)
Twig\Template->display(Array, Array) (Line: 43)
__TwigTemplate_bd990293b89f3b78c69fe0ee2f7828b5->doDisplay(Array, Array) (Line: 405)
Twig\Template->displayWithErrorHandling(Array, Array) (Line: 378)
Twig\Template->display(Array) (Line: 390)
Twig\Template->render(Array) (Line: 55)
twig_render_template('themes/contrib/classy/templates/field/field--text-with-summary.html.twig', Array) (Line: 384)
Drupal\Core\Theme\ThemeManager->render('field', Array) (Line: 433)
Drupal\Core\Render\Renderer->doRender(Array) (Line: 446)
Drupal\Core\Render\Renderer->doRender(Array, ) (Line: 204)
Drupal\Core\Render\Renderer->render(Array) (Line: 479)
Drupal\Core\Template\TwigExtension->escapeFilter(Object, Array, 'html', NULL, 1) (Line: 74)
__TwigTemplate_94047fbdba6937b76a4479dfa1763452->doDisplay(Array, Array) (Line: 405)
Twig\Template->displayWithErrorHandling(Array, Array) (Line: 378)
Twig\Template->display(Array) (Line: 390)
Twig\Template->render(Array) (Line: 55)
twig_render_template('themes/custom/yg_aesthetic/templates/node.html.twig', Array) (Line: 384)
Drupal\Core\Theme\ThemeManager->render('node', Array) (Line: 433)
Drupal\Core\Render\Renderer->doRender(Array, ) (Line: 204)
Drupal\Core\Render\Renderer->render(Array, ) (Line: 242)
Drupal\Core\Render\MainContent\HtmlRenderer->Drupal\Core\Render\MainContent\{closure}() (Line: 580)
Drupal\Core\Render\Renderer->executeInRenderContext(Object, Object) (Line: 235)
Drupal\Core\Render\MainContent\HtmlRenderer->prepare(Array, Object, Object) (Line: 132)
Drupal\Core\Render\MainContent\HtmlRenderer->renderResponse(Array, Object, Object) (Line: 90)
Drupal\Core\EventSubscriber\MainContentViewSubscriber->onViewRenderArray(Object, 'kernel.view', Object)
call_user_func(Array, Object, 'kernel.view', Object) (Line: 142)
Drupal\Component\EventDispatcher\ContainerAwareEventDispatcher->dispatch(Object, 'kernel.view') (Line: 174)
Symfony\Component\HttpKernel\HttpKernel->handleRaw(Object, 1) (Line: 81)
Symfony\Component\HttpKernel\HttpKernel->handle(Object, 1, 1) (Line: 58)
Drupal\Core\StackMiddleware\Session->handle(Object, 1, 1) (Line: 48)
Drupal\Core\StackMiddleware\KernelPreHandle->handle(Object, 1, 1) (Line: 191)
Drupal\page_cache\StackMiddleware\PageCache->fetch(Object, 1, 1) (Line: 128)
Drupal\page_cache\StackMiddleware\PageCache->lookup(Object, 1, 1) (Line: 82)
Drupal\page_cache\StackMiddleware\PageCache->handle(Object, 1, 1) (Line: 48)
Drupal\Core\StackMiddleware\ReverseProxyMiddleware->handle(Object, 1, 1) (Line: 51)
Drupal\Core\StackMiddleware\NegotiationMiddleware->handle(Object, 1, 1) (Line: 23)
Stack\StackedHttpKernel->handle(Object, 1, 1) (Line: 713)
Drupal\Core\DrupalKernel->handle(Object) (Line: 19)
- Deprecated function: Creation of dynamic property Drupal\mysql\Driver\Database\mysql\Select::$alterMetaData is deprecated in Drupal\Core\Database\Query\Select->addMetaData() (line 178 of core/lib/Drupal/Core/Database/Query/Select.php).
Drupal\Core\Database\Query\Select->addMetaData('entity_type', 'file') (Line: 115)
Drupal\Core\Entity\Query\Sql\Query->prepare() (Line: 80)
Drupal\Core\Entity\Query\Sql\Query->execute() (Line: 640)
Drupal\Core\Entity\EntityStorageBase->loadByProperties(Array) (Line: 63)
Drupal\Core\Entity\EntityRepository->loadEntityByUuid('file', 'insert-max_800_px-b2ba0be2-34f7-4e7e-a383-fe051803a9c2') (Line: 124)
Drupal\editor\Plugin\Filter\EditorFileReference->process('También debemos reconsiderar la <em>función de error</em> o <em>función de coste</em> que vamos a utilizar en nuestro clasificador. Hasta ahora -para hacer más sencilla la interpretación de las explicaciones- hemos dado por supuesto que estábamos trabajando en un entorno de análisis de regresión considerando alguna variación de la siguiente función de coste:
<a class="colorbox insert-colorbox" data-colorbox-gallery="gallery-node" data-insert-class="" data-insert-type="image" href="/sites/default/files/2020-11/tutdl_0141.jpg"></a>
En este escenario la predicción para una muestra i (ŷi) es un número, el valor objetivo o etiqueta (yi) es otro número, por lo que su diferencia elevada al cuadrado es otro número y el resultado del sumatorio también es un número.
En un escenario de clasificación resulta necesario retocar adecuadamente esta función, pues ahora tanto la predicción como el valor objetivo no son valores escalares, sino vectores. <a href="/manual/tutorial-de-deep-learning/variable-objetivo">Ya vimos</a>, por ejemplo, que si estamos trabajando con las imágenes de MNIST y la variable objetivo toma el valor 3 (de 10 clases posibles), esto supone que necesitamos alimentar nuestra red con un vector de 10 números que tomen el valor 0 menos el correspondiente a la clase "3", que deberá tomar el valor 1:
<a class="colorbox insert-colorbox" data-colorbox-gallery="gallery-node" data-insert-class="" data-insert-type="image" href="/sites/default/files/2020-10/tutdl_0113.jpg"></a>
Y con la predicción ocurre exactamente lo mismo: el resultado devuelto por la red neuronal será un vector formado por 10 números indicando cada uno de ellos la "confianza" que la red tiene de que el valor representado en la imagen sea el correspondiente a cada clase.
Esto significa que, para el cálculo del error de una muestra, debemos enfrentar no dos números -como ocurría en el caso del análisis de regresión-, sino dos vectores.
Una solución para obtener este error es restar ambos vectores y obtener el módulo del resultado:
<a class="colorbox insert-colorbox" data-colorbox-gallery="gallery-node" data-insert-class="" data-insert-type="image" href="/sites/default/files/2020-11/tutdl_0142.jpg"></a>
En la imagen anterior partimos de la variable objetivo correspondiente al número 3 (yi), nos inventamos una supuesta predicción (ŷi) y obtenemos la diferencia de ambos vectores (yi-ŷi). En la parte inferior se muestra el módulo de este último vector: 0.58189, obtenido como la raíz cuadrada de la suma de los cuadrados de los componentes del vector.
Este enfoque nos lleva a retocar la función de coste correspondiente a una muestra dejándola expresada de la siguiente manera:
<a class="colorbox insert-colorbox" data-colorbox-gallery="gallery-node" data-insert-class="" data-insert-type="image" href="/sites/default/files/2020-11/tutdl_0143.jpg"></a>
(donde ||x̄|| representa el módulo del vector x̄)
...y definiendo, por lo tanto, la función de coste global con la siguiente expresión (o alguna variación de ésta):
<a class="colorbox insert-colorbox" data-colorbox-gallery="gallery-node" data-insert-class="" data-insert-type="image" href="/sites/default/files/2020-11/tutdl_0144.jpg"></a>
', 'es') (Line: 118)
Drupal\filter\Element\ProcessedText::preRenderText(Array)
call_user_func_array(Array, Array) (Line: 101)
Drupal\Core\Render\Renderer->doTrustedCallback(Array, Array, 'Render #pre_render callbacks must be methods of a class that implements \Drupal\Core\Security\TrustedCallbackInterface or be an anonymous function. The callback was %s. See https://www.drupal.org/node/2966725', 'exception', 'Drupal\Core\Render\Element\RenderCallbackInterface') (Line: 788)
Drupal\Core\Render\Renderer->doCallback('#pre_render', Array, Array) (Line: 374)
Drupal\Core\Render\Renderer->doRender(Array, ) (Line: 204)
Drupal\Core\Render\Renderer->render(Array) (Line: 479)
Drupal\Core\Template\TwigExtension->escapeFilter(Object, Array, 'html', NULL, 1) (Line: 88)
__TwigTemplate_a7d6005c89ae729617b9a0c2bccb1776->doDisplay(Array, Array) (Line: 405)
Twig\Template->displayWithErrorHandling(Array, Array) (Line: 378)
Twig\Template->display(Array, Array) (Line: 46)
__TwigTemplate_804f7948456cfe20e11a34c43439c7c2->doDisplay(Array, Array) (Line: 405)
Twig\Template->displayWithErrorHandling(Array, Array) (Line: 378)
Twig\Template->display(Array, Array) (Line: 43)
__TwigTemplate_bd990293b89f3b78c69fe0ee2f7828b5->doDisplay(Array, Array) (Line: 405)
Twig\Template->displayWithErrorHandling(Array, Array) (Line: 378)
Twig\Template->display(Array) (Line: 390)
Twig\Template->render(Array) (Line: 55)
twig_render_template('themes/contrib/classy/templates/field/field--text-with-summary.html.twig', Array) (Line: 384)
Drupal\Core\Theme\ThemeManager->render('field', Array) (Line: 433)
Drupal\Core\Render\Renderer->doRender(Array) (Line: 446)
Drupal\Core\Render\Renderer->doRender(Array, ) (Line: 204)
Drupal\Core\Render\Renderer->render(Array) (Line: 479)
Drupal\Core\Template\TwigExtension->escapeFilter(Object, Array, 'html', NULL, 1) (Line: 74)
__TwigTemplate_94047fbdba6937b76a4479dfa1763452->doDisplay(Array, Array) (Line: 405)
Twig\Template->displayWithErrorHandling(Array, Array) (Line: 378)
Twig\Template->display(Array) (Line: 390)
Twig\Template->render(Array) (Line: 55)
twig_render_template('themes/custom/yg_aesthetic/templates/node.html.twig', Array) (Line: 384)
Drupal\Core\Theme\ThemeManager->render('node', Array) (Line: 433)
Drupal\Core\Render\Renderer->doRender(Array, ) (Line: 204)
Drupal\Core\Render\Renderer->render(Array, ) (Line: 242)
Drupal\Core\Render\MainContent\HtmlRenderer->Drupal\Core\Render\MainContent\{closure}() (Line: 580)
Drupal\Core\Render\Renderer->executeInRenderContext(Object, Object) (Line: 235)
Drupal\Core\Render\MainContent\HtmlRenderer->prepare(Array, Object, Object) (Line: 132)
Drupal\Core\Render\MainContent\HtmlRenderer->renderResponse(Array, Object, Object) (Line: 90)
Drupal\Core\EventSubscriber\MainContentViewSubscriber->onViewRenderArray(Object, 'kernel.view', Object)
call_user_func(Array, Object, 'kernel.view', Object) (Line: 142)
Drupal\Component\EventDispatcher\ContainerAwareEventDispatcher->dispatch(Object, 'kernel.view') (Line: 174)
Symfony\Component\HttpKernel\HttpKernel->handleRaw(Object, 1) (Line: 81)
Symfony\Component\HttpKernel\HttpKernel->handle(Object, 1, 1) (Line: 58)
Drupal\Core\StackMiddleware\Session->handle(Object, 1, 1) (Line: 48)
Drupal\Core\StackMiddleware\KernelPreHandle->handle(Object, 1, 1) (Line: 191)
Drupal\page_cache\StackMiddleware\PageCache->fetch(Object, 1, 1) (Line: 128)
Drupal\page_cache\StackMiddleware\PageCache->lookup(Object, 1, 1) (Line: 82)
Drupal\page_cache\StackMiddleware\PageCache->handle(Object, 1, 1) (Line: 48)
Drupal\Core\StackMiddleware\ReverseProxyMiddleware->handle(Object, 1, 1) (Line: 51)
Drupal\Core\StackMiddleware\NegotiationMiddleware->handle(Object, 1, 1) (Line: 23)
Stack\StackedHttpKernel->handle(Object, 1, 1) (Line: 713)
Drupal\Core\DrupalKernel->handle(Object) (Line: 19)
- Deprecated function: Creation of dynamic property Drupal\mysql\Driver\Database\mysql\Select::$alterTags is deprecated in Drupal\Core\Database\Query\Select->addTag() (line 149 of core/lib/Drupal/Core/Database/Query/Select.php).
Drupal\Core\Database\Query\Select->addTag('entity_query') (Line: 147)
Drupal\Core\Entity\Query\Sql\Query->prepare() (Line: 80)
Drupal\Core\Entity\Query\Sql\Query->execute() (Line: 640)
Drupal\Core\Entity\EntityStorageBase->loadByProperties(Array) (Line: 63)
Drupal\Core\Entity\EntityRepository->loadEntityByUuid('file', 'insert-max_800_px-b2ba0be2-34f7-4e7e-a383-fe051803a9c2') (Line: 124)
Drupal\editor\Plugin\Filter\EditorFileReference->process('También debemos reconsiderar la <em>función de error</em> o <em>función de coste</em> que vamos a utilizar en nuestro clasificador. Hasta ahora -para hacer más sencilla la interpretación de las explicaciones- hemos dado por supuesto que estábamos trabajando en un entorno de análisis de regresión considerando alguna variación de la siguiente función de coste:
<a class="colorbox insert-colorbox" data-colorbox-gallery="gallery-node" data-insert-class="" data-insert-type="image" href="/sites/default/files/2020-11/tutdl_0141.jpg"></a>
En este escenario la predicción para una muestra i (ŷi) es un número, el valor objetivo o etiqueta (yi) es otro número, por lo que su diferencia elevada al cuadrado es otro número y el resultado del sumatorio también es un número.
En un escenario de clasificación resulta necesario retocar adecuadamente esta función, pues ahora tanto la predicción como el valor objetivo no son valores escalares, sino vectores. <a href="/manual/tutorial-de-deep-learning/variable-objetivo">Ya vimos</a>, por ejemplo, que si estamos trabajando con las imágenes de MNIST y la variable objetivo toma el valor 3 (de 10 clases posibles), esto supone que necesitamos alimentar nuestra red con un vector de 10 números que tomen el valor 0 menos el correspondiente a la clase "3", que deberá tomar el valor 1:
<a class="colorbox insert-colorbox" data-colorbox-gallery="gallery-node" data-insert-class="" data-insert-type="image" href="/sites/default/files/2020-10/tutdl_0113.jpg"></a>
Y con la predicción ocurre exactamente lo mismo: el resultado devuelto por la red neuronal será un vector formado por 10 números indicando cada uno de ellos la "confianza" que la red tiene de que el valor representado en la imagen sea el correspondiente a cada clase.
Esto significa que, para el cálculo del error de una muestra, debemos enfrentar no dos números -como ocurría en el caso del análisis de regresión-, sino dos vectores.
Una solución para obtener este error es restar ambos vectores y obtener el módulo del resultado:
<a class="colorbox insert-colorbox" data-colorbox-gallery="gallery-node" data-insert-class="" data-insert-type="image" href="/sites/default/files/2020-11/tutdl_0142.jpg"></a>
En la imagen anterior partimos de la variable objetivo correspondiente al número 3 (yi), nos inventamos una supuesta predicción (ŷi) y obtenemos la diferencia de ambos vectores (yi-ŷi). En la parte inferior se muestra el módulo de este último vector: 0.58189, obtenido como la raíz cuadrada de la suma de los cuadrados de los componentes del vector.
Este enfoque nos lleva a retocar la función de coste correspondiente a una muestra dejándola expresada de la siguiente manera:
<a class="colorbox insert-colorbox" data-colorbox-gallery="gallery-node" data-insert-class="" data-insert-type="image" href="/sites/default/files/2020-11/tutdl_0143.jpg"></a>
(donde ||x̄|| representa el módulo del vector x̄)
...y definiendo, por lo tanto, la función de coste global con la siguiente expresión (o alguna variación de ésta):
<a class="colorbox insert-colorbox" data-colorbox-gallery="gallery-node" data-insert-class="" data-insert-type="image" href="/sites/default/files/2020-11/tutdl_0144.jpg"></a>
', 'es') (Line: 118)
Drupal\filter\Element\ProcessedText::preRenderText(Array)
call_user_func_array(Array, Array) (Line: 101)
Drupal\Core\Render\Renderer->doTrustedCallback(Array, Array, 'Render #pre_render callbacks must be methods of a class that implements \Drupal\Core\Security\TrustedCallbackInterface or be an anonymous function. The callback was %s. See https://www.drupal.org/node/2966725', 'exception', 'Drupal\Core\Render\Element\RenderCallbackInterface') (Line: 788)
Drupal\Core\Render\Renderer->doCallback('#pre_render', Array, Array) (Line: 374)
Drupal\Core\Render\Renderer->doRender(Array, ) (Line: 204)
Drupal\Core\Render\Renderer->render(Array) (Line: 479)
Drupal\Core\Template\TwigExtension->escapeFilter(Object, Array, 'html', NULL, 1) (Line: 88)
__TwigTemplate_a7d6005c89ae729617b9a0c2bccb1776->doDisplay(Array, Array) (Line: 405)
Twig\Template->displayWithErrorHandling(Array, Array) (Line: 378)
Twig\Template->display(Array, Array) (Line: 46)
__TwigTemplate_804f7948456cfe20e11a34c43439c7c2->doDisplay(Array, Array) (Line: 405)
Twig\Template->displayWithErrorHandling(Array, Array) (Line: 378)
Twig\Template->display(Array, Array) (Line: 43)
__TwigTemplate_bd990293b89f3b78c69fe0ee2f7828b5->doDisplay(Array, Array) (Line: 405)
Twig\Template->displayWithErrorHandling(Array, Array) (Line: 378)
Twig\Template->display(Array) (Line: 390)
Twig\Template->render(Array) (Line: 55)
twig_render_template('themes/contrib/classy/templates/field/field--text-with-summary.html.twig', Array) (Line: 384)
Drupal\Core\Theme\ThemeManager->render('field', Array) (Line: 433)
Drupal\Core\Render\Renderer->doRender(Array) (Line: 446)
Drupal\Core\Render\Renderer->doRender(Array, ) (Line: 204)
Drupal\Core\Render\Renderer->render(Array) (Line: 479)
Drupal\Core\Template\TwigExtension->escapeFilter(Object, Array, 'html', NULL, 1) (Line: 74)
__TwigTemplate_94047fbdba6937b76a4479dfa1763452->doDisplay(Array, Array) (Line: 405)
Twig\Template->displayWithErrorHandling(Array, Array) (Line: 378)
Twig\Template->display(Array) (Line: 390)
Twig\Template->render(Array) (Line: 55)
twig_render_template('themes/custom/yg_aesthetic/templates/node.html.twig', Array) (Line: 384)
Drupal\Core\Theme\ThemeManager->render('node', Array) (Line: 433)
Drupal\Core\Render\Renderer->doRender(Array, ) (Line: 204)
Drupal\Core\Render\Renderer->render(Array, ) (Line: 242)
Drupal\Core\Render\MainContent\HtmlRenderer->Drupal\Core\Render\MainContent\{closure}() (Line: 580)
Drupal\Core\Render\Renderer->executeInRenderContext(Object, Object) (Line: 235)
Drupal\Core\Render\MainContent\HtmlRenderer->prepare(Array, Object, Object) (Line: 132)
Drupal\Core\Render\MainContent\HtmlRenderer->renderResponse(Array, Object, Object) (Line: 90)
Drupal\Core\EventSubscriber\MainContentViewSubscriber->onViewRenderArray(Object, 'kernel.view', Object)
call_user_func(Array, Object, 'kernel.view', Object) (Line: 142)
Drupal\Component\EventDispatcher\ContainerAwareEventDispatcher->dispatch(Object, 'kernel.view') (Line: 174)
Symfony\Component\HttpKernel\HttpKernel->handleRaw(Object, 1) (Line: 81)
Symfony\Component\HttpKernel\HttpKernel->handle(Object, 1, 1) (Line: 58)
Drupal\Core\StackMiddleware\Session->handle(Object, 1, 1) (Line: 48)
Drupal\Core\StackMiddleware\KernelPreHandle->handle(Object, 1, 1) (Line: 191)
Drupal\page_cache\StackMiddleware\PageCache->fetch(Object, 1, 1) (Line: 128)
Drupal\page_cache\StackMiddleware\PageCache->lookup(Object, 1, 1) (Line: 82)
Drupal\page_cache\StackMiddleware\PageCache->handle(Object, 1, 1) (Line: 48)
Drupal\Core\StackMiddleware\ReverseProxyMiddleware->handle(Object, 1, 1) (Line: 51)
Drupal\Core\StackMiddleware\NegotiationMiddleware->handle(Object, 1, 1) (Line: 23)
Stack\StackedHttpKernel->handle(Object, 1, 1) (Line: 713)
Drupal\Core\DrupalKernel->handle(Object) (Line: 19)
- Deprecated function: Creation of dynamic property Drupal\mysql\Driver\Database\mysql\Select::$alterTags is deprecated in Drupal\Core\Database\Query\Select->addTag() (line 149 of core/lib/Drupal/Core/Database/Query/Select.php).
Drupal\Core\Database\Query\Select->addTag('node_access') (Line: 51)
Drupal\book\BookOutlineStorage->loadMultiple(Array) (Line: 1021)
Drupal\book\BookManager->bookTreeCheckAccess(Array, Array) (Line: 701)
Drupal\book\BookManager->bookTreeBuild('2261', Array) (Line: 567)
Drupal\book\BookManager->bookTreeAllData('2261', Array, 6) (Line: 792)
Drupal\book\BookManager->bookTreeGetFlat(Array) (Line: 109)
Drupal\book\BookOutline->childrenLinks(Array) (Line: 403)
template_preprocess_book_navigation(Array, 'book_navigation', Array)
call_user_func_array('template_preprocess_book_navigation', Array) (Line: 287)
Drupal\Core\Theme\ThemeManager->render('book_navigation', Array) (Line: 433)
Drupal\Core\Render\Renderer->doRender(Array) (Line: 446)
Drupal\Core\Render\Renderer->doRender(Array, ) (Line: 204)
Drupal\Core\Render\Renderer->render(Array) (Line: 479)
Drupal\Core\Template\TwigExtension->escapeFilter(Object, Array, 'html', NULL, 1) (Line: 74)
__TwigTemplate_94047fbdba6937b76a4479dfa1763452->doDisplay(Array, Array) (Line: 405)
Twig\Template->displayWithErrorHandling(Array, Array) (Line: 378)
Twig\Template->display(Array) (Line: 390)
Twig\Template->render(Array) (Line: 55)
twig_render_template('themes/custom/yg_aesthetic/templates/node.html.twig', Array) (Line: 384)
Drupal\Core\Theme\ThemeManager->render('node', Array) (Line: 433)
Drupal\Core\Render\Renderer->doRender(Array, ) (Line: 204)
Drupal\Core\Render\Renderer->render(Array, ) (Line: 242)
Drupal\Core\Render\MainContent\HtmlRenderer->Drupal\Core\Render\MainContent\{closure}() (Line: 580)
Drupal\Core\Render\Renderer->executeInRenderContext(Object, Object) (Line: 235)
Drupal\Core\Render\MainContent\HtmlRenderer->prepare(Array, Object, Object) (Line: 132)
Drupal\Core\Render\MainContent\HtmlRenderer->renderResponse(Array, Object, Object) (Line: 90)
Drupal\Core\EventSubscriber\MainContentViewSubscriber->onViewRenderArray(Object, 'kernel.view', Object)
call_user_func(Array, Object, 'kernel.view', Object) (Line: 142)
Drupal\Component\EventDispatcher\ContainerAwareEventDispatcher->dispatch(Object, 'kernel.view') (Line: 174)
Symfony\Component\HttpKernel\HttpKernel->handleRaw(Object, 1) (Line: 81)
Symfony\Component\HttpKernel\HttpKernel->handle(Object, 1, 1) (Line: 58)
Drupal\Core\StackMiddleware\Session->handle(Object, 1, 1) (Line: 48)
Drupal\Core\StackMiddleware\KernelPreHandle->handle(Object, 1, 1) (Line: 191)
Drupal\page_cache\StackMiddleware\PageCache->fetch(Object, 1, 1) (Line: 128)
Drupal\page_cache\StackMiddleware\PageCache->lookup(Object, 1, 1) (Line: 82)
Drupal\page_cache\StackMiddleware\PageCache->handle(Object, 1, 1) (Line: 48)
Drupal\Core\StackMiddleware\ReverseProxyMiddleware->handle(Object, 1, 1) (Line: 51)
Drupal\Core\StackMiddleware\NegotiationMiddleware->handle(Object, 1, 1) (Line: 23)
Stack\StackedHttpKernel->handle(Object, 1, 1) (Line: 713)
Drupal\Core\DrupalKernel->handle(Object) (Line: 19)
- Deprecated function: Creation of dynamic property Drupal\mysql\Driver\Database\mysql\Select::$alterMetaData is deprecated in Drupal\Core\Database\Query\Select->addMetaData() (line 178 of core/lib/Drupal/Core/Database/Query/Select.php).
Drupal\Core\Database\Query\Select->addMetaData('base_table', 'book') (Line: 52)
Drupal\book\BookOutlineStorage->loadMultiple(Array) (Line: 1021)
Drupal\book\BookManager->bookTreeCheckAccess(Array, Array) (Line: 701)
Drupal\book\BookManager->bookTreeBuild('2261', Array) (Line: 567)
Drupal\book\BookManager->bookTreeAllData('2261', Array, 6) (Line: 792)
Drupal\book\BookManager->bookTreeGetFlat(Array) (Line: 109)
Drupal\book\BookOutline->childrenLinks(Array) (Line: 403)
template_preprocess_book_navigation(Array, 'book_navigation', Array)
call_user_func_array('template_preprocess_book_navigation', Array) (Line: 287)
Drupal\Core\Theme\ThemeManager->render('book_navigation', Array) (Line: 433)
Drupal\Core\Render\Renderer->doRender(Array) (Line: 446)
Drupal\Core\Render\Renderer->doRender(Array, ) (Line: 204)
Drupal\Core\Render\Renderer->render(Array) (Line: 479)
Drupal\Core\Template\TwigExtension->escapeFilter(Object, Array, 'html', NULL, 1) (Line: 74)
__TwigTemplate_94047fbdba6937b76a4479dfa1763452->doDisplay(Array, Array) (Line: 405)
Twig\Template->displayWithErrorHandling(Array, Array) (Line: 378)
Twig\Template->display(Array) (Line: 390)
Twig\Template->render(Array) (Line: 55)
twig_render_template('themes/custom/yg_aesthetic/templates/node.html.twig', Array) (Line: 384)
Drupal\Core\Theme\ThemeManager->render('node', Array) (Line: 433)
Drupal\Core\Render\Renderer->doRender(Array, ) (Line: 204)
Drupal\Core\Render\Renderer->render(Array, ) (Line: 242)
Drupal\Core\Render\MainContent\HtmlRenderer->Drupal\Core\Render\MainContent\{closure}() (Line: 580)
Drupal\Core\Render\Renderer->executeInRenderContext(Object, Object) (Line: 235)
Drupal\Core\Render\MainContent\HtmlRenderer->prepare(Array, Object, Object) (Line: 132)
Drupal\Core\Render\MainContent\HtmlRenderer->renderResponse(Array, Object, Object) (Line: 90)
Drupal\Core\EventSubscriber\MainContentViewSubscriber->onViewRenderArray(Object, 'kernel.view', Object)
call_user_func(Array, Object, 'kernel.view', Object) (Line: 142)
Drupal\Component\EventDispatcher\ContainerAwareEventDispatcher->dispatch(Object, 'kernel.view') (Line: 174)
Symfony\Component\HttpKernel\HttpKernel->handleRaw(Object, 1) (Line: 81)
Symfony\Component\HttpKernel\HttpKernel->handle(Object, 1, 1) (Line: 58)
Drupal\Core\StackMiddleware\Session->handle(Object, 1, 1) (Line: 48)
Drupal\Core\StackMiddleware\KernelPreHandle->handle(Object, 1, 1) (Line: 191)
Drupal\page_cache\StackMiddleware\PageCache->fetch(Object, 1, 1) (Line: 128)
Drupal\page_cache\StackMiddleware\PageCache->lookup(Object, 1, 1) (Line: 82)
Drupal\page_cache\StackMiddleware\PageCache->handle(Object, 1, 1) (Line: 48)
Drupal\Core\StackMiddleware\ReverseProxyMiddleware->handle(Object, 1, 1) (Line: 51)
Drupal\Core\StackMiddleware\NegotiationMiddleware->handle(Object, 1, 1) (Line: 23)
Stack\StackedHttpKernel->handle(Object, 1, 1) (Line: 713)
Drupal\Core\DrupalKernel->handle(Object) (Line: 19)
- Deprecated function: Creation of dynamic property Drupal\mysql\Driver\Database\mysql\Select::$alterTags is deprecated in Drupal\Core\Database\Query\Select->addTag() (line 149 of core/lib/Drupal/Core/Database/Query/Select.php).
Drupal\Core\Database\Query\Select->addTag('node_access') (Line: 51)
Drupal\book\BookOutlineStorage->loadMultiple(Array) (Line: 1021)
Drupal\book\BookManager->bookTreeCheckAccess(Array, Array) (Line: 1179)
Drupal\book\BookManager->bookSubtreeData(Array) (Line: 56)
Drupal\book\BookOutline->prevLink(Array) (Line: 407)
template_preprocess_book_navigation(Array, 'book_navigation', Array)
call_user_func_array('template_preprocess_book_navigation', Array) (Line: 287)
Drupal\Core\Theme\ThemeManager->render('book_navigation', Array) (Line: 433)
Drupal\Core\Render\Renderer->doRender(Array) (Line: 446)
Drupal\Core\Render\Renderer->doRender(Array, ) (Line: 204)
Drupal\Core\Render\Renderer->render(Array) (Line: 479)
Drupal\Core\Template\TwigExtension->escapeFilter(Object, Array, 'html', NULL, 1) (Line: 74)
__TwigTemplate_94047fbdba6937b76a4479dfa1763452->doDisplay(Array, Array) (Line: 405)
Twig\Template->displayWithErrorHandling(Array, Array) (Line: 378)
Twig\Template->display(Array) (Line: 390)
Twig\Template->render(Array) (Line: 55)
twig_render_template('themes/custom/yg_aesthetic/templates/node.html.twig', Array) (Line: 384)
Drupal\Core\Theme\ThemeManager->render('node', Array) (Line: 433)
Drupal\Core\Render\Renderer->doRender(Array, ) (Line: 204)
Drupal\Core\Render\Renderer->render(Array, ) (Line: 242)
Drupal\Core\Render\MainContent\HtmlRenderer->Drupal\Core\Render\MainContent\{closure}() (Line: 580)
Drupal\Core\Render\Renderer->executeInRenderContext(Object, Object) (Line: 235)
Drupal\Core\Render\MainContent\HtmlRenderer->prepare(Array, Object, Object) (Line: 132)
Drupal\Core\Render\MainContent\HtmlRenderer->renderResponse(Array, Object, Object) (Line: 90)
Drupal\Core\EventSubscriber\MainContentViewSubscriber->onViewRenderArray(Object, 'kernel.view', Object)
call_user_func(Array, Object, 'kernel.view', Object) (Line: 142)
Drupal\Component\EventDispatcher\ContainerAwareEventDispatcher->dispatch(Object, 'kernel.view') (Line: 174)
Symfony\Component\HttpKernel\HttpKernel->handleRaw(Object, 1) (Line: 81)
Symfony\Component\HttpKernel\HttpKernel->handle(Object, 1, 1) (Line: 58)
Drupal\Core\StackMiddleware\Session->handle(Object, 1, 1) (Line: 48)
Drupal\Core\StackMiddleware\KernelPreHandle->handle(Object, 1, 1) (Line: 191)
Drupal\page_cache\StackMiddleware\PageCache->fetch(Object, 1, 1) (Line: 128)
Drupal\page_cache\StackMiddleware\PageCache->lookup(Object, 1, 1) (Line: 82)
Drupal\page_cache\StackMiddleware\PageCache->handle(Object, 1, 1) (Line: 48)
Drupal\Core\StackMiddleware\ReverseProxyMiddleware->handle(Object, 1, 1) (Line: 51)
Drupal\Core\StackMiddleware\NegotiationMiddleware->handle(Object, 1, 1) (Line: 23)
Stack\StackedHttpKernel->handle(Object, 1, 1) (Line: 713)
Drupal\Core\DrupalKernel->handle(Object) (Line: 19)
- Deprecated function: Creation of dynamic property Drupal\mysql\Driver\Database\mysql\Select::$alterMetaData is deprecated in Drupal\Core\Database\Query\Select->addMetaData() (line 178 of core/lib/Drupal/Core/Database/Query/Select.php).
Drupal\Core\Database\Query\Select->addMetaData('base_table', 'book') (Line: 52)
Drupal\book\BookOutlineStorage->loadMultiple(Array) (Line: 1021)
Drupal\book\BookManager->bookTreeCheckAccess(Array, Array) (Line: 1179)
Drupal\book\BookManager->bookSubtreeData(Array) (Line: 56)
Drupal\book\BookOutline->prevLink(Array) (Line: 407)
template_preprocess_book_navigation(Array, 'book_navigation', Array)
call_user_func_array('template_preprocess_book_navigation', Array) (Line: 287)
Drupal\Core\Theme\ThemeManager->render('book_navigation', Array) (Line: 433)
Drupal\Core\Render\Renderer->doRender(Array) (Line: 446)
Drupal\Core\Render\Renderer->doRender(Array, ) (Line: 204)
Drupal\Core\Render\Renderer->render(Array) (Line: 479)
Drupal\Core\Template\TwigExtension->escapeFilter(Object, Array, 'html', NULL, 1) (Line: 74)
__TwigTemplate_94047fbdba6937b76a4479dfa1763452->doDisplay(Array, Array) (Line: 405)
Twig\Template->displayWithErrorHandling(Array, Array) (Line: 378)
Twig\Template->display(Array) (Line: 390)
Twig\Template->render(Array) (Line: 55)
twig_render_template('themes/custom/yg_aesthetic/templates/node.html.twig', Array) (Line: 384)
Drupal\Core\Theme\ThemeManager->render('node', Array) (Line: 433)
Drupal\Core\Render\Renderer->doRender(Array, ) (Line: 204)
Drupal\Core\Render\Renderer->render(Array, ) (Line: 242)
Drupal\Core\Render\MainContent\HtmlRenderer->Drupal\Core\Render\MainContent\{closure}() (Line: 580)
Drupal\Core\Render\Renderer->executeInRenderContext(Object, Object) (Line: 235)
Drupal\Core\Render\MainContent\HtmlRenderer->prepare(Array, Object, Object) (Line: 132)
Drupal\Core\Render\MainContent\HtmlRenderer->renderResponse(Array, Object, Object) (Line: 90)
Drupal\Core\EventSubscriber\MainContentViewSubscriber->onViewRenderArray(Object, 'kernel.view', Object)
call_user_func(Array, Object, 'kernel.view', Object) (Line: 142)
Drupal\Component\EventDispatcher\ContainerAwareEventDispatcher->dispatch(Object, 'kernel.view') (Line: 174)
Symfony\Component\HttpKernel\HttpKernel->handleRaw(Object, 1) (Line: 81)
Symfony\Component\HttpKernel\HttpKernel->handle(Object, 1, 1) (Line: 58)
Drupal\Core\StackMiddleware\Session->handle(Object, 1, 1) (Line: 48)
Drupal\Core\StackMiddleware\KernelPreHandle->handle(Object, 1, 1) (Line: 191)
Drupal\page_cache\StackMiddleware\PageCache->fetch(Object, 1, 1) (Line: 128)
Drupal\page_cache\StackMiddleware\PageCache->lookup(Object, 1, 1) (Line: 82)
Drupal\page_cache\StackMiddleware\PageCache->handle(Object, 1, 1) (Line: 48)
Drupal\Core\StackMiddleware\ReverseProxyMiddleware->handle(Object, 1, 1) (Line: 51)
Drupal\Core\StackMiddleware\NegotiationMiddleware->handle(Object, 1, 1) (Line: 23)
Stack\StackedHttpKernel->handle(Object, 1, 1) (Line: 713)
Drupal\Core\DrupalKernel->handle(Object) (Line: 19)
- Deprecated function: Creation of dynamic property Drupal\mysql\Driver\Database\mysql\Select::$alterTags is deprecated in Drupal\Core\Database\Query\Select->addTag() (line 149 of core/lib/Drupal/Core/Database/Query/Select.php).
Drupal\Core\Database\Query\Select->addTag('node_access') (Line: 51)
Drupal\book\BookOutlineStorage->loadMultiple(Array, 1) (Line: 831)
Drupal\book\BookManager->loadBookLinks(Array, 1) (Line: 823)
Drupal\book\BookManager->loadBookLink('2865') (Line: 419)
template_preprocess_book_navigation(Array, 'book_navigation', Array)
call_user_func_array('template_preprocess_book_navigation', Array) (Line: 287)
Drupal\Core\Theme\ThemeManager->render('book_navigation', Array) (Line: 433)
Drupal\Core\Render\Renderer->doRender(Array) (Line: 446)
Drupal\Core\Render\Renderer->doRender(Array, ) (Line: 204)
Drupal\Core\Render\Renderer->render(Array) (Line: 479)
Drupal\Core\Template\TwigExtension->escapeFilter(Object, Array, 'html', NULL, 1) (Line: 74)
__TwigTemplate_94047fbdba6937b76a4479dfa1763452->doDisplay(Array, Array) (Line: 405)
Twig\Template->displayWithErrorHandling(Array, Array) (Line: 378)
Twig\Template->display(Array) (Line: 390)
Twig\Template->render(Array) (Line: 55)
twig_render_template('themes/custom/yg_aesthetic/templates/node.html.twig', Array) (Line: 384)
Drupal\Core\Theme\ThemeManager->render('node', Array) (Line: 433)
Drupal\Core\Render\Renderer->doRender(Array, ) (Line: 204)
Drupal\Core\Render\Renderer->render(Array, ) (Line: 242)
Drupal\Core\Render\MainContent\HtmlRenderer->Drupal\Core\Render\MainContent\{closure}() (Line: 580)
Drupal\Core\Render\Renderer->executeInRenderContext(Object, Object) (Line: 235)
Drupal\Core\Render\MainContent\HtmlRenderer->prepare(Array, Object, Object) (Line: 132)
Drupal\Core\Render\MainContent\HtmlRenderer->renderResponse(Array, Object, Object) (Line: 90)
Drupal\Core\EventSubscriber\MainContentViewSubscriber->onViewRenderArray(Object, 'kernel.view', Object)
call_user_func(Array, Object, 'kernel.view', Object) (Line: 142)
Drupal\Component\EventDispatcher\ContainerAwareEventDispatcher->dispatch(Object, 'kernel.view') (Line: 174)
Symfony\Component\HttpKernel\HttpKernel->handleRaw(Object, 1) (Line: 81)
Symfony\Component\HttpKernel\HttpKernel->handle(Object, 1, 1) (Line: 58)
Drupal\Core\StackMiddleware\Session->handle(Object, 1, 1) (Line: 48)
Drupal\Core\StackMiddleware\KernelPreHandle->handle(Object, 1, 1) (Line: 191)
Drupal\page_cache\StackMiddleware\PageCache->fetch(Object, 1, 1) (Line: 128)
Drupal\page_cache\StackMiddleware\PageCache->lookup(Object, 1, 1) (Line: 82)
Drupal\page_cache\StackMiddleware\PageCache->handle(Object, 1, 1) (Line: 48)
Drupal\Core\StackMiddleware\ReverseProxyMiddleware->handle(Object, 1, 1) (Line: 51)
Drupal\Core\StackMiddleware\NegotiationMiddleware->handle(Object, 1, 1) (Line: 23)
Stack\StackedHttpKernel->handle(Object, 1, 1) (Line: 713)
Drupal\Core\DrupalKernel->handle(Object) (Line: 19)
- Deprecated function: Creation of dynamic property Drupal\mysql\Driver\Database\mysql\Select::$alterMetaData is deprecated in Drupal\Core\Database\Query\Select->addMetaData() (line 178 of core/lib/Drupal/Core/Database/Query/Select.php).
Drupal\Core\Database\Query\Select->addMetaData('base_table', 'book') (Line: 52)
Drupal\book\BookOutlineStorage->loadMultiple(Array, 1) (Line: 831)
Drupal\book\BookManager->loadBookLinks(Array, 1) (Line: 823)
Drupal\book\BookManager->loadBookLink('2865') (Line: 419)
template_preprocess_book_navigation(Array, 'book_navigation', Array)
call_user_func_array('template_preprocess_book_navigation', Array) (Line: 287)
Drupal\Core\Theme\ThemeManager->render('book_navigation', Array) (Line: 433)
Drupal\Core\Render\Renderer->doRender(Array) (Line: 446)
Drupal\Core\Render\Renderer->doRender(Array, ) (Line: 204)
Drupal\Core\Render\Renderer->render(Array) (Line: 479)
Drupal\Core\Template\TwigExtension->escapeFilter(Object, Array, 'html', NULL, 1) (Line: 74)
__TwigTemplate_94047fbdba6937b76a4479dfa1763452->doDisplay(Array, Array) (Line: 405)
Twig\Template->displayWithErrorHandling(Array, Array) (Line: 378)
Twig\Template->display(Array) (Line: 390)
Twig\Template->render(Array) (Line: 55)
twig_render_template('themes/custom/yg_aesthetic/templates/node.html.twig', Array) (Line: 384)
Drupal\Core\Theme\ThemeManager->render('node', Array) (Line: 433)
Drupal\Core\Render\Renderer->doRender(Array, ) (Line: 204)
Drupal\Core\Render\Renderer->render(Array, ) (Line: 242)
Drupal\Core\Render\MainContent\HtmlRenderer->Drupal\Core\Render\MainContent\{closure}() (Line: 580)
Drupal\Core\Render\Renderer->executeInRenderContext(Object, Object) (Line: 235)
Drupal\Core\Render\MainContent\HtmlRenderer->prepare(Array, Object, Object) (Line: 132)
Drupal\Core\Render\MainContent\HtmlRenderer->renderResponse(Array, Object, Object) (Line: 90)
Drupal\Core\EventSubscriber\MainContentViewSubscriber->onViewRenderArray(Object, 'kernel.view', Object)
call_user_func(Array, Object, 'kernel.view', Object) (Line: 142)
Drupal\Component\EventDispatcher\ContainerAwareEventDispatcher->dispatch(Object, 'kernel.view') (Line: 174)
Symfony\Component\HttpKernel\HttpKernel->handleRaw(Object, 1) (Line: 81)
Symfony\Component\HttpKernel\HttpKernel->handle(Object, 1, 1) (Line: 58)
Drupal\Core\StackMiddleware\Session->handle(Object, 1, 1) (Line: 48)
Drupal\Core\StackMiddleware\KernelPreHandle->handle(Object, 1, 1) (Line: 191)
Drupal\page_cache\StackMiddleware\PageCache->fetch(Object, 1, 1) (Line: 128)
Drupal\page_cache\StackMiddleware\PageCache->lookup(Object, 1, 1) (Line: 82)
Drupal\page_cache\StackMiddleware\PageCache->handle(Object, 1, 1) (Line: 48)
Drupal\Core\StackMiddleware\ReverseProxyMiddleware->handle(Object, 1, 1) (Line: 51)
Drupal\Core\StackMiddleware\NegotiationMiddleware->handle(Object, 1, 1) (Line: 23)
Stack\StackedHttpKernel->handle(Object, 1, 1) (Line: 713)
Drupal\Core\DrupalKernel->handle(Object) (Line: 19)
- Deprecated function: Return type of Drupal\google_analytics\Component\Render\GoogleAnalyticsJavaScriptSnippet::jsonSerialize() should either be compatible with JsonSerializable::jsonSerialize(): mixed, or the #[\ReturnTypeWillChange] attribute should be used to temporarily suppress the notice in include() (line 10 of modules/contrib/google_analytics/src/Component/Render/GoogleAnalyticsJavaScriptSnippet.php).
include('/var/www/vhosts/interactivechaos.ovh/httpdocs/modules/contrib/google_analytics/src/Component/Render/GoogleAnalyticsJavaScriptSnippet.php') (Line: 578)
Composer\Autoload\ClassLoader::Composer\Autoload\{closure}('/var/www/vhosts/interactivechaos.ovh/httpdocs/modules/contrib/google_analytics/src/Component/Render/GoogleAnalyticsJavaScriptSnippet.php') (Line: 432)
Composer\Autoload\ClassLoader->loadClass('Drupal\google_analytics\Component\Render\GoogleAnalyticsJavaScriptSnippet') (Line: 372)
google_analytics_page_attachments(Array) (Line: 313)
Drupal\Core\Render\MainContent\HtmlRenderer->Drupal\Core\Render\MainContent\{closure}(Object, 'google_analytics') (Line: 405)
Drupal\Core\Extension\ModuleHandler->invokeAllWith('page_attachments', Object) (Line: 310)
Drupal\Core\Render\MainContent\HtmlRenderer->invokePageAttachmentHooks(Array) (Line: 288)
Drupal\Core\Render\MainContent\HtmlRenderer->prepare(Array, Object, Object) (Line: 132)
Drupal\Core\Render\MainContent\HtmlRenderer->renderResponse(Array, Object, Object) (Line: 90)
Drupal\Core\EventSubscriber\MainContentViewSubscriber->onViewRenderArray(Object, 'kernel.view', Object)
call_user_func(Array, Object, 'kernel.view', Object) (Line: 142)
Drupal\Component\EventDispatcher\ContainerAwareEventDispatcher->dispatch(Object, 'kernel.view') (Line: 174)
Symfony\Component\HttpKernel\HttpKernel->handleRaw(Object, 1) (Line: 81)
Symfony\Component\HttpKernel\HttpKernel->handle(Object, 1, 1) (Line: 58)
Drupal\Core\StackMiddleware\Session->handle(Object, 1, 1) (Line: 48)
Drupal\Core\StackMiddleware\KernelPreHandle->handle(Object, 1, 1) (Line: 191)
Drupal\page_cache\StackMiddleware\PageCache->fetch(Object, 1, 1) (Line: 128)
Drupal\page_cache\StackMiddleware\PageCache->lookup(Object, 1, 1) (Line: 82)
Drupal\page_cache\StackMiddleware\PageCache->handle(Object, 1, 1) (Line: 48)
Drupal\Core\StackMiddleware\ReverseProxyMiddleware->handle(Object, 1, 1) (Line: 51)
Drupal\Core\StackMiddleware\NegotiationMiddleware->handle(Object, 1, 1) (Line: 23)
Stack\StackedHttpKernel->handle(Object, 1, 1) (Line: 713)
Drupal\Core\DrupalKernel->handle(Object) (Line: 19)
- Deprecated function: Use of "static" in callables is deprecated in Drupal\user\Entity\Role::postLoad() (line 172 of core/modules/user/src/Entity/Role.php).
Drupal\user\Entity\Role::postLoad(Object, Array) (Line: 423)
Drupal\Core\Entity\EntityStorageBase->postLoad(Array) (Line: 353)
Drupal\Core\Entity\EntityStorageBase->loadMultiple() (Line: 126)
eu_cookie_compliance_page_attachments(Array) (Line: 313)
Drupal\Core\Render\MainContent\HtmlRenderer->Drupal\Core\Render\MainContent\{closure}(Object, 'eu_cookie_compliance') (Line: 405)
Drupal\Core\Extension\ModuleHandler->invokeAllWith('page_attachments', Object) (Line: 310)
Drupal\Core\Render\MainContent\HtmlRenderer->invokePageAttachmentHooks(Array) (Line: 288)
Drupal\Core\Render\MainContent\HtmlRenderer->prepare(Array, Object, Object) (Line: 132)
Drupal\Core\Render\MainContent\HtmlRenderer->renderResponse(Array, Object, Object) (Line: 90)
Drupal\Core\EventSubscriber\MainContentViewSubscriber->onViewRenderArray(Object, 'kernel.view', Object)
call_user_func(Array, Object, 'kernel.view', Object) (Line: 142)
Drupal\Component\EventDispatcher\ContainerAwareEventDispatcher->dispatch(Object, 'kernel.view') (Line: 174)
Symfony\Component\HttpKernel\HttpKernel->handleRaw(Object, 1) (Line: 81)
Symfony\Component\HttpKernel\HttpKernel->handle(Object, 1, 1) (Line: 58)
Drupal\Core\StackMiddleware\Session->handle(Object, 1, 1) (Line: 48)
Drupal\Core\StackMiddleware\KernelPreHandle->handle(Object, 1, 1) (Line: 191)
Drupal\page_cache\StackMiddleware\PageCache->fetch(Object, 1, 1) (Line: 128)
Drupal\page_cache\StackMiddleware\PageCache->lookup(Object, 1, 1) (Line: 82)
Drupal\page_cache\StackMiddleware\PageCache->handle(Object, 1, 1) (Line: 48)
Drupal\Core\StackMiddleware\ReverseProxyMiddleware->handle(Object, 1, 1) (Line: 51)
Drupal\Core\StackMiddleware\NegotiationMiddleware->handle(Object, 1, 1) (Line: 23)
Stack\StackedHttpKernel->handle(Object, 1, 1) (Line: 713)
Drupal\Core\DrupalKernel->handle(Object) (Line: 19)
- Deprecated function: Creation of dynamic property Drupal\mysql\Driver\Database\mysql\Select::$alterMetaData is deprecated in Drupal\Core\Database\Query\Select->addMetaData() (line 178 of core/lib/Drupal/Core/Database/Query/Select.php).
Drupal\Core\Database\Query\Select->addMetaData('entity_type', 'node') (Line: 115)
Drupal\Core\Entity\Query\Sql\Query->prepare() (Line: 80)
Drupal\Core\Entity\Query\Sql\Query->execute() (Line: 167)
Drupal\book\Plugin\Block\BookNavigationBlock->build() (Line: 171)
Drupal\block\BlockViewBuilder::preRender(Array)
call_user_func_array(Array, Array) (Line: 101)
Drupal\Core\Render\Renderer->doTrustedCallback(Array, Array, 'Render #pre_render callbacks must be methods of a class that implements \Drupal\Core\Security\TrustedCallbackInterface or be an anonymous function. The callback was %s. See https://www.drupal.org/node/2966725', 'exception', 'Drupal\Core\Render\Element\RenderCallbackInterface') (Line: 788)
Drupal\Core\Render\Renderer->doCallback('#pre_render', Array, Array) (Line: 374)
Drupal\Core\Render\Renderer->doRender(Array, 1) (Line: 204)
Drupal\Core\Render\Renderer->render(Array, 1) (Line: 160)
Drupal\Core\Render\Renderer->Drupal\Core\Render\{closure}() (Line: 580)
Drupal\Core\Render\Renderer->executeInRenderContext(Object, Object) (Line: 159)
Drupal\Core\Render\Renderer->renderPlain(Array) (Line: 175)
Drupal\Core\Render\Renderer->renderPlaceholder('', Array) (Line: 665)
Drupal\Core\Render\Renderer->replacePlaceholders(Array) (Line: 550)
Drupal\Core\Render\Renderer->doRender(Array, 1) (Line: 204)
Drupal\Core\Render\Renderer->render(Array, 1) (Line: 148)
Drupal\Core\Render\Renderer->Drupal\Core\Render\{closure}() (Line: 580)
Drupal\Core\Render\Renderer->executeInRenderContext(Object, Object) (Line: 147)
Drupal\Core\Render\Renderer->renderRoot(Array) (Line: 279)
Drupal\Core\Render\HtmlResponseAttachmentsProcessor->renderPlaceholders(Object) (Line: 71)
Drupal\big_pipe\Render\BigPipeResponseAttachmentsProcessor->processAttachments(Object) (Line: 45)
Drupal\Core\EventSubscriber\HtmlResponseSubscriber->onRespond(Object, 'kernel.response', Object)
call_user_func(Array, Object, 'kernel.response', Object) (Line: 142)
Drupal\Component\EventDispatcher\ContainerAwareEventDispatcher->dispatch(Object, 'kernel.response') (Line: 202)
Symfony\Component\HttpKernel\HttpKernel->filterResponse(Object, Object, 1) (Line: 190)
Symfony\Component\HttpKernel\HttpKernel->handleRaw(Object, 1) (Line: 81)
Symfony\Component\HttpKernel\HttpKernel->handle(Object, 1, 1) (Line: 58)
Drupal\Core\StackMiddleware\Session->handle(Object, 1, 1) (Line: 48)
Drupal\Core\StackMiddleware\KernelPreHandle->handle(Object, 1, 1) (Line: 191)
Drupal\page_cache\StackMiddleware\PageCache->fetch(Object, 1, 1) (Line: 128)
Drupal\page_cache\StackMiddleware\PageCache->lookup(Object, 1, 1) (Line: 82)
Drupal\page_cache\StackMiddleware\PageCache->handle(Object, 1, 1) (Line: 48)
Drupal\Core\StackMiddleware\ReverseProxyMiddleware->handle(Object, 1, 1) (Line: 51)
Drupal\Core\StackMiddleware\NegotiationMiddleware->handle(Object, 1, 1) (Line: 23)
Stack\StackedHttpKernel->handle(Object, 1, 1) (Line: 713)
Drupal\Core\DrupalKernel->handle(Object) (Line: 19)
- Deprecated function: Creation of dynamic property Drupal\mysql\Driver\Database\mysql\Select::$alterTags is deprecated in Drupal\Core\Database\Query\Select->addTag() (line 149 of core/lib/Drupal/Core/Database/Query/Select.php).
Drupal\Core\Database\Query\Select->addTag('node_access') (Line: 145)
Drupal\Core\Entity\Query\Sql\Query->prepare() (Line: 80)
Drupal\Core\Entity\Query\Sql\Query->execute() (Line: 167)
Drupal\book\Plugin\Block\BookNavigationBlock->build() (Line: 171)
Drupal\block\BlockViewBuilder::preRender(Array)
call_user_func_array(Array, Array) (Line: 101)
Drupal\Core\Render\Renderer->doTrustedCallback(Array, Array, 'Render #pre_render callbacks must be methods of a class that implements \Drupal\Core\Security\TrustedCallbackInterface or be an anonymous function. The callback was %s. See https://www.drupal.org/node/2966725', 'exception', 'Drupal\Core\Render\Element\RenderCallbackInterface') (Line: 788)
Drupal\Core\Render\Renderer->doCallback('#pre_render', Array, Array) (Line: 374)
Drupal\Core\Render\Renderer->doRender(Array, 1) (Line: 204)
Drupal\Core\Render\Renderer->render(Array, 1) (Line: 160)
Drupal\Core\Render\Renderer->Drupal\Core\Render\{closure}() (Line: 580)
Drupal\Core\Render\Renderer->executeInRenderContext(Object, Object) (Line: 159)
Drupal\Core\Render\Renderer->renderPlain(Array) (Line: 175)
Drupal\Core\Render\Renderer->renderPlaceholder('', Array) (Line: 665)
Drupal\Core\Render\Renderer->replacePlaceholders(Array) (Line: 550)
Drupal\Core\Render\Renderer->doRender(Array, 1) (Line: 204)
Drupal\Core\Render\Renderer->render(Array, 1) (Line: 148)
Drupal\Core\Render\Renderer->Drupal\Core\Render\{closure}() (Line: 580)
Drupal\Core\Render\Renderer->executeInRenderContext(Object, Object) (Line: 147)
Drupal\Core\Render\Renderer->renderRoot(Array) (Line: 279)
Drupal\Core\Render\HtmlResponseAttachmentsProcessor->renderPlaceholders(Object) (Line: 71)
Drupal\big_pipe\Render\BigPipeResponseAttachmentsProcessor->processAttachments(Object) (Line: 45)
Drupal\Core\EventSubscriber\HtmlResponseSubscriber->onRespond(Object, 'kernel.response', Object)
call_user_func(Array, Object, 'kernel.response', Object) (Line: 142)
Drupal\Component\EventDispatcher\ContainerAwareEventDispatcher->dispatch(Object, 'kernel.response') (Line: 202)
Symfony\Component\HttpKernel\HttpKernel->filterResponse(Object, Object, 1) (Line: 190)
Symfony\Component\HttpKernel\HttpKernel->handleRaw(Object, 1) (Line: 81)
Symfony\Component\HttpKernel\HttpKernel->handle(Object, 1, 1) (Line: 58)
Drupal\Core\StackMiddleware\Session->handle(Object, 1, 1) (Line: 48)
Drupal\Core\StackMiddleware\KernelPreHandle->handle(Object, 1, 1) (Line: 191)
Drupal\page_cache\StackMiddleware\PageCache->fetch(Object, 1, 1) (Line: 128)
Drupal\page_cache\StackMiddleware\PageCache->lookup(Object, 1, 1) (Line: 82)
Drupal\page_cache\StackMiddleware\PageCache->handle(Object, 1, 1) (Line: 48)
Drupal\Core\StackMiddleware\ReverseProxyMiddleware->handle(Object, 1, 1) (Line: 51)
Drupal\Core\StackMiddleware\NegotiationMiddleware->handle(Object, 1, 1) (Line: 23)
Stack\StackedHttpKernel->handle(Object, 1, 1) (Line: 713)
Drupal\Core\DrupalKernel->handle(Object) (Line: 19)
- Deprecated function: Creation of dynamic property Drupal\mysql\Driver\Database\mysql\Select::$alterTags is deprecated in Drupal\Core\Database\Query\Select->addTag() (line 149 of core/lib/Drupal/Core/Database/Query/Select.php).
Drupal\Core\Database\Query\Select->addTag('node_access') (Line: 51)
Drupal\book\BookOutlineStorage->loadMultiple(Array) (Line: 1021)
Drupal\book\BookManager->bookTreeCheckAccess(Array, Array) (Line: 701)
Drupal\book\BookManager->bookTreeBuild('2261', Array) (Line: 567)
Drupal\book\BookManager->bookTreeAllData('2261', Array) (Line: 171)
Drupal\book\Plugin\Block\BookNavigationBlock->build() (Line: 171)
Drupal\block\BlockViewBuilder::preRender(Array)
call_user_func_array(Array, Array) (Line: 101)
Drupal\Core\Render\Renderer->doTrustedCallback(Array, Array, 'Render #pre_render callbacks must be methods of a class that implements \Drupal\Core\Security\TrustedCallbackInterface or be an anonymous function. The callback was %s. See https://www.drupal.org/node/2966725', 'exception', 'Drupal\Core\Render\Element\RenderCallbackInterface') (Line: 788)
Drupal\Core\Render\Renderer->doCallback('#pre_render', Array, Array) (Line: 374)
Drupal\Core\Render\Renderer->doRender(Array, 1) (Line: 204)
Drupal\Core\Render\Renderer->render(Array, 1) (Line: 160)
Drupal\Core\Render\Renderer->Drupal\Core\Render\{closure}() (Line: 580)
Drupal\Core\Render\Renderer->executeInRenderContext(Object, Object) (Line: 159)
Drupal\Core\Render\Renderer->renderPlain(Array) (Line: 175)
Drupal\Core\Render\Renderer->renderPlaceholder('', Array) (Line: 665)
Drupal\Core\Render\Renderer->replacePlaceholders(Array) (Line: 550)
Drupal\Core\Render\Renderer->doRender(Array, 1) (Line: 204)
Drupal\Core\Render\Renderer->render(Array, 1) (Line: 148)
Drupal\Core\Render\Renderer->Drupal\Core\Render\{closure}() (Line: 580)
Drupal\Core\Render\Renderer->executeInRenderContext(Object, Object) (Line: 147)
Drupal\Core\Render\Renderer->renderRoot(Array) (Line: 279)
Drupal\Core\Render\HtmlResponseAttachmentsProcessor->renderPlaceholders(Object) (Line: 71)
Drupal\big_pipe\Render\BigPipeResponseAttachmentsProcessor->processAttachments(Object) (Line: 45)
Drupal\Core\EventSubscriber\HtmlResponseSubscriber->onRespond(Object, 'kernel.response', Object)
call_user_func(Array, Object, 'kernel.response', Object) (Line: 142)
Drupal\Component\EventDispatcher\ContainerAwareEventDispatcher->dispatch(Object, 'kernel.response') (Line: 202)
Symfony\Component\HttpKernel\HttpKernel->filterResponse(Object, Object, 1) (Line: 190)
Symfony\Component\HttpKernel\HttpKernel->handleRaw(Object, 1) (Line: 81)
Symfony\Component\HttpKernel\HttpKernel->handle(Object, 1, 1) (Line: 58)
Drupal\Core\StackMiddleware\Session->handle(Object, 1, 1) (Line: 48)
Drupal\Core\StackMiddleware\KernelPreHandle->handle(Object, 1, 1) (Line: 191)
Drupal\page_cache\StackMiddleware\PageCache->fetch(Object, 1, 1) (Line: 128)
Drupal\page_cache\StackMiddleware\PageCache->lookup(Object, 1, 1) (Line: 82)
Drupal\page_cache\StackMiddleware\PageCache->handle(Object, 1, 1) (Line: 48)
Drupal\Core\StackMiddleware\ReverseProxyMiddleware->handle(Object, 1, 1) (Line: 51)
Drupal\Core\StackMiddleware\NegotiationMiddleware->handle(Object, 1, 1) (Line: 23)
Stack\StackedHttpKernel->handle(Object, 1, 1) (Line: 713)
Drupal\Core\DrupalKernel->handle(Object) (Line: 19)
- Deprecated function: Creation of dynamic property Drupal\mysql\Driver\Database\mysql\Select::$alterMetaData is deprecated in Drupal\Core\Database\Query\Select->addMetaData() (line 178 of core/lib/Drupal/Core/Database/Query/Select.php).
Drupal\Core\Database\Query\Select->addMetaData('base_table', 'book') (Line: 52)
Drupal\book\BookOutlineStorage->loadMultiple(Array) (Line: 1021)
Drupal\book\BookManager->bookTreeCheckAccess(Array, Array) (Line: 701)
Drupal\book\BookManager->bookTreeBuild('2261', Array) (Line: 567)
Drupal\book\BookManager->bookTreeAllData('2261', Array) (Line: 171)
Drupal\book\Plugin\Block\BookNavigationBlock->build() (Line: 171)
Drupal\block\BlockViewBuilder::preRender(Array)
call_user_func_array(Array, Array) (Line: 101)
Drupal\Core\Render\Renderer->doTrustedCallback(Array, Array, 'Render #pre_render callbacks must be methods of a class that implements \Drupal\Core\Security\TrustedCallbackInterface or be an anonymous function. The callback was %s. See https://www.drupal.org/node/2966725', 'exception', 'Drupal\Core\Render\Element\RenderCallbackInterface') (Line: 788)
Drupal\Core\Render\Renderer->doCallback('#pre_render', Array, Array) (Line: 374)
Drupal\Core\Render\Renderer->doRender(Array, 1) (Line: 204)
Drupal\Core\Render\Renderer->render(Array, 1) (Line: 160)
Drupal\Core\Render\Renderer->Drupal\Core\Render\{closure}() (Line: 580)
Drupal\Core\Render\Renderer->executeInRenderContext(Object, Object) (Line: 159)
Drupal\Core\Render\Renderer->renderPlain(Array) (Line: 175)
Drupal\Core\Render\Renderer->renderPlaceholder('', Array) (Line: 665)
Drupal\Core\Render\Renderer->replacePlaceholders(Array) (Line: 550)
Drupal\Core\Render\Renderer->doRender(Array, 1) (Line: 204)
Drupal\Core\Render\Renderer->render(Array, 1) (Line: 148)
Drupal\Core\Render\Renderer->Drupal\Core\Render\{closure}() (Line: 580)
Drupal\Core\Render\Renderer->executeInRenderContext(Object, Object) (Line: 147)
Drupal\Core\Render\Renderer->renderRoot(Array) (Line: 279)
Drupal\Core\Render\HtmlResponseAttachmentsProcessor->renderPlaceholders(Object) (Line: 71)
Drupal\big_pipe\Render\BigPipeResponseAttachmentsProcessor->processAttachments(Object) (Line: 45)
Drupal\Core\EventSubscriber\HtmlResponseSubscriber->onRespond(Object, 'kernel.response', Object)
call_user_func(Array, Object, 'kernel.response', Object) (Line: 142)
Drupal\Component\EventDispatcher\ContainerAwareEventDispatcher->dispatch(Object, 'kernel.response') (Line: 202)
Symfony\Component\HttpKernel\HttpKernel->filterResponse(Object, Object, 1) (Line: 190)
Symfony\Component\HttpKernel\HttpKernel->handleRaw(Object, 1) (Line: 81)
Symfony\Component\HttpKernel\HttpKernel->handle(Object, 1, 1) (Line: 58)
Drupal\Core\StackMiddleware\Session->handle(Object, 1, 1) (Line: 48)
Drupal\Core\StackMiddleware\KernelPreHandle->handle(Object, 1, 1) (Line: 191)
Drupal\page_cache\StackMiddleware\PageCache->fetch(Object, 1, 1) (Line: 128)
Drupal\page_cache\StackMiddleware\PageCache->lookup(Object, 1, 1) (Line: 82)
Drupal\page_cache\StackMiddleware\PageCache->handle(Object, 1, 1) (Line: 48)
Drupal\Core\StackMiddleware\ReverseProxyMiddleware->handle(Object, 1, 1) (Line: 51)
Drupal\Core\StackMiddleware\NegotiationMiddleware->handle(Object, 1, 1) (Line: 23)
Stack\StackedHttpKernel->handle(Object, 1, 1) (Line: 713)
Drupal\Core\DrupalKernel->handle(Object) (Line: 19)